【每日一题】20250412
【每日一题】
1.(18分)
\(\hspace{0.7cm}\)I. 图 \(1\) 是“研究平抛物体运动”的实验装置图,通过描点画出平抛小球的运动轨迹.

\(\hspace{0.7cm}\)(1)以下是实验过程中的一些做法,其中合理的有_______.
\(\hspace{1cm}\)a. 安装斜槽轨道,使其末端保持水平
\(\hspace{1cm}\)b. 每次小球释放的初始位置可以任意选择
\(\hspace{1cm}\)c. 每次小球应从同一高度由静止释放
\(\hspace{1cm}\)d. 为描出小球的运动轨迹,描绘的点可以用折线连接
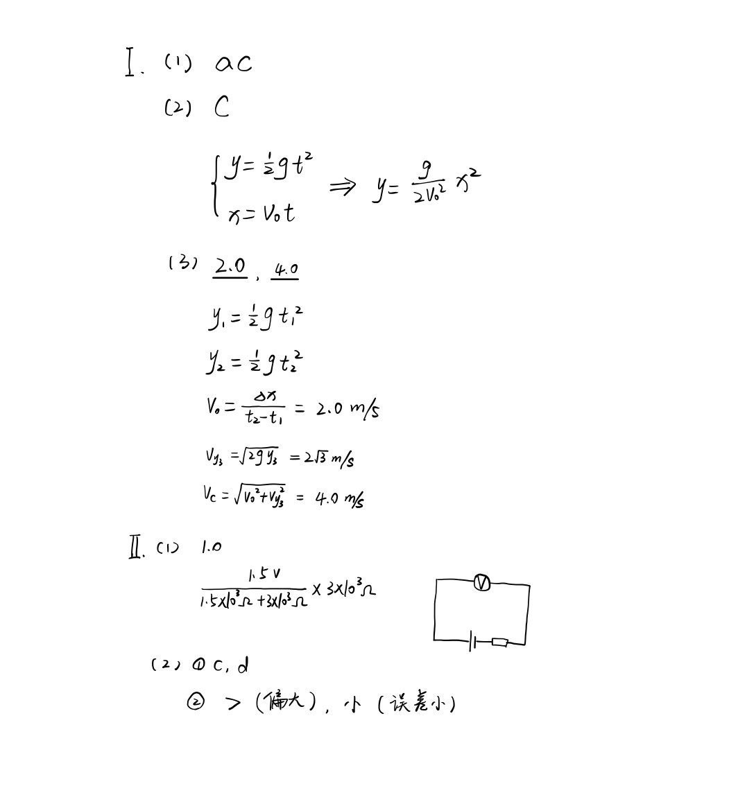
\(\hspace{0.7cm}\)(2)实验得到平抛小球的运动轨迹,在轨迹上取一些点,以平抛起点 \(O\) 为坐标原点,测量它们的水平坐标 \(x\) 和竖直坐标 \(y\).图 \(2\) 中 \(y-x^2\) 图象能说明平抛小球运动轨迹为抛物线的是_______.

\(\hspace{0.7cm}\)(3)图 \(3\) 是某同学根据实验画出的平抛小球的运动轨迹,\(O\) 为平抛的起点,在轨迹上任取三点 \(A\)、\(B\)、\(C\),测得 \(A\)、\(B\) 两点竖直坐标 \(y_1\) 为 \(5.0 \; \mathrm{cm}\),\(y_2\) 为 \(45.0 \; \mathrm{cm}\),\(A\)、\(B\) 两点水平间距 \(\Delta x\) 为 \(40.0 \; \mathrm{cm}\).则平抛小球的初速度 \(v_0\) 为 _______ \(\mathrm{m/s}\),若 \(C\) 点的竖直坐标 \(y_3\) 为 \(60.0 \; \mathrm{cm}\),则小球在 \(C\) 点的速度 \(v_c\) 为 _______ \(\mathrm{m/s}\)(结果保留两位有效数字,\(g\) 取 \(10 \; \mathrm{m/s^2}\)).

\(\hspace{0.7cm}\)II. 某同学为了测量一个量程为 \(3 \; \mathrm{V}\) 的电压表的内阻,进行了如下实验.
\(\hspace{0.7cm}\)(1)该同学先用多用表进行了正确的测量,测量时指针位置如图 \(1\) 所示,得出电压表的内阻为 \(3.00 \times 10^3 \; \Omega\),此时电压表的指针也偏转了.已知多用表欧姆档表盘中央刻度值为“\(15\)”,表内电池电动势为 \(1.5 \; \mathrm{V}\),则电压表的示数应为 __________ \(\mathrm{V}\)(结果保留两位有效数字).

\(\hspace{0.7cm}\)(2)为了更准确地测量该电压表的内阻 \(R_\mathrm{V}\),该同学设计了图 \(2\) 所示的电路图,实验步骤如下:
\(\hspace{0.7cm}\)A. 断开开关 \(S\),按图 \(2\) 连接好电路;
\(\hspace{0.7cm}\)B. 把滑动变阻器 \(R\) 的滑片 \(P\) 滑到 \(b\)端;
\(\hspace{0.7cm}\)C. 将电阻箱 \(R_0\) 的阻值调到零;
\(\hspace{0.7cm}\)D. 闭合开关 \(S\);
\(\hspace{0.7cm}\)E. 移动滑动变阻器 \(R\) 的滑片 \(P\) 的位置,使电压表的指针指到 \(3 \; \mathrm{V}\) 位置;
\(\hspace{0.7cm}\)F. 保持滑动变阻器 \(R\) 的滑片 \(P\) 位置不变,调节电阻箱 \(R_0\) 的阻值使电压表的指针指到 \(1.5 \; \mathrm{V}\) 位置,读出此时电阻箱 \(R_0\) 的阻值,此值即为电压表内阻 \(R_\mathrm{V}\) 的测量值;
\(\hspace{0.7cm}\)G. 断开开关 \(S\).
实验中可选择的实验器材有:
\(\hspace{0.7cm}\)a. 待测电压表
\(\hspace{0.7cm}\)b. 滑动变阻器:最大阻值 \(2000 \; \Omega\)
\(\hspace{0.7cm}\)c. 滑动变阻器:最大阻值 \(10 \; \Omega\)
\(\hspace{0.7cm}\)d. 电阻箱:最大阻值 \(9999.9 \; \Omega\),阻值最小改变量为 \(0.1 \; \Omega\)
\(\hspace{0.7cm}\)e. 电阻箱:最大阻值 \(999.9 \; \Omega\),阻值最小改变量为 \(0.1 \; \Omega\)
\(\hspace{0.7cm}\)f. 电池组:电动势约 \(6 \; \mathrm{V}\),内阻可忽略
\(\hspace{0.7cm}\)g. 开关,导线若干
\(\hspace{0.7cm}\)按照这位同学设计的实验方案,回答下列问题:
\(\hspace{0.7cm}\)① 要使测量更精确,除了选用电池组、导线、开关和待测电压表外,还应从提供的滑动变阻器中选用_______(填“b”或”c”),电阻箱中选用_______(填“d”或”e”);
\(\hspace{0.7cm}\)② 电压表的内阻 \(R_{\mathrm{V}}\) 的测量值 \(R_{测}\) 和真实值 \(R_{真}\) 相比,\(R_{测}\) ______ \(R_{真}\)(填“\(>\)”或“\(<\)”);若 \(R_{\mathrm{V}}\) 越大,则 \(\displaystyle \frac{\left|R_{测}-R_{真}\right|}{R_{真}}\) 越_______(填“大”或“小”).
[试题来源:2014年安徽卷]
【每日一言】
或许拼命工作并非救赎,而是一种症状。 -《我的骨头没有忘记》斯蒂芬妮·胡

【学生撰写过程】

【答案】

未完待续~
2025-04-12 11:16:22 星期六

或许拼命工作并非救赎,而是一种症状。
浙公网安备 33010602011771号