【每日一题】20250406
【每日一题】
-
记 \(S_n\) 为等差数列 \(\{a_n \}\) 的前 \(n\) 项和,若 \(a_3=3\),\(S_4=10\),则 \(\displaystyle \sum_{i=1}^n\frac{1}{S_i}=\)________.
-
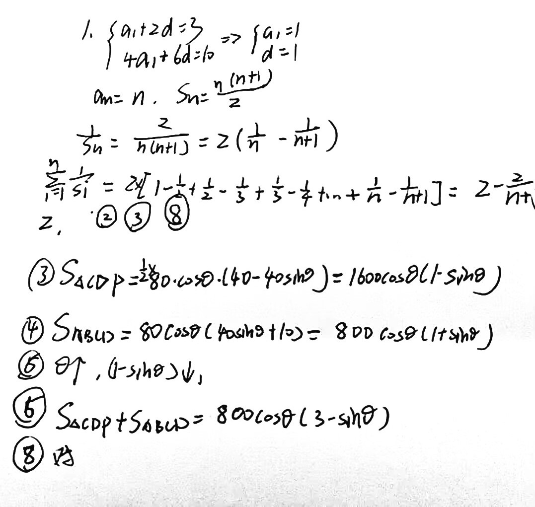
某农场有一块农田,如图所示,它的边界由圆 \(O\) 的一段圆弧 \(MPN\)(\(P\) 为此圆弧的中点)和线段 \(MN\) 构成.已知圆 \(O\) 的半径为 \(40\) 米,点 \(P\) 到 \(MN\) 的距离为 \(50\) 米.现规划在此农田上修建两个温室大棚,大棚 \(\mathrm{I}\) 内的地块形状为矩形 \(ABCD\),大棚 \(\mathrm{II}\) 内的地块形状为 \(\triangle CDP\),要求 \(A\),\(B\) 均在线段 \(MN\) 上,\(C\),\(D\) 均在圆弧上.若大棚 \(\mathrm{I}\) 内种植甲种蔬菜,大棚 \(\mathrm{II}\) 内种植乙种蔬菜,且甲、乙两种蔬菜的单位面积年产值之比为 \(4:3\).记 \(OC\) 与 \(MN\) 所成的角为 \(\theta\),则下列说法正确的序号为__________.(写出所有符合题目要求的序号)
① \(\theta\) 存在最值
② \(\sin\theta\) 的取值范围是 \((0,1)\)
③ \(\triangle CDP\) 的面积为 \(1600\cos\theta(1-\sin\theta)\)
④ 矩形 \(ABCD\) 的面积为 \(3200\cos\theta(1+\sin\theta)\)
⑤ 甲、乙两种蔬菜的年总产值为 \(8000\cos\theta(1-\sin\theta)\)
⑥ 当 \(\theta\) 增大时,\(\triangle CDP\) 的面积先增大后减小
⑦ 当 \(\theta\) 减小时,矩形 \(ABCD\) 的面积先增大后减小
⑧ 当 \(\displaystyle \theta=\frac\pi4\) 时,甲、乙两种蔬菜的年总产值最大
![image]()
[试题来源:2017年全国 II 卷,2018年江苏卷]
【每日一言】

【学生撰写过程】

【答案】

未完待续~
2025-04-06 23:56:26 星期日

2025年4月6日每日一题

浙公网安备 33010602011771号