【每日一题】20250326
【每日一题】
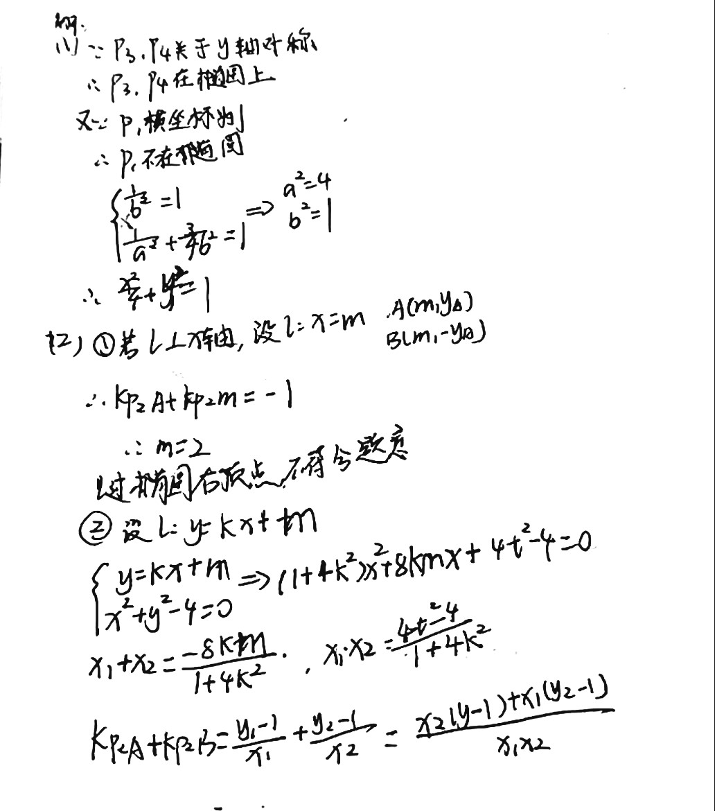
1.(17分)
\(\hspace{0.7cm}\)已知椭圆 \(C\):\(\displaystyle\frac{x^2}{a^2}+\frac{y^2}{b^2}=1(a>b>0)\),四点 \(P_1(1,1)\),\(P_2(0,1)\),\(\displaystyle P_3(-1,\frac{\sqrt{3}}{2})\),\(\displaystyle P_4(1,\frac{\sqrt{3}}{2})\) 中恰有三点在椭圆 \(C\) 上.
\(\hspace{0.7cm}\)(1)求 \(C\) 的离心率;
\(\hspace{0.7cm}\)(2)设直线 \(l\) 不经过 \(P_2\) 点且与 \(C\) 相交于 \(A\),\(B\) 两点.若直线 \(P_2A\) 与直线 \(P_2B\) 的斜率的和为 \(-1\),证明:\(l\) 过定点.
[试题来源:2017年全国 I 卷]
【每日一言】
让屋子尽可能简洁,不要太舒适,你才会尽可能多地出门,而不是被舒适绊住。 -《假如我们注定是普通人》祁十一

【学生撰写过程】

【答案】

未完待续~

让屋子尽可能简洁,不要太舒适,你才会尽可能多地出门,而不是被舒适绊住。
浙公网安备 33010602011771号