【每日一题】20250320
【每日一题】
-
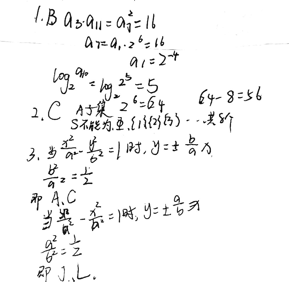
已知等比数列 \(\{a_n\}\) 的公比为 \(2\),且 \(a_i>0(i=1,2,\cdots)\),\(a_3a_{11}=16\),则 \(\log_2a_{10}=\)
A. \(4\)
B. \(5\)
C. \(6\)
D. \(7\) -
设集合 \(A=\{1,2,3,4,5,6\}\),\(B=\{4,5,6,7\}\),则满足 \(S\subseteq A\) 且 \(S\cap B\neq\varnothing\) 的集合 \(S\) 的个数为
A. \(8\)
B. \(49\)
C. \(56\)
D. \(57\) -
(多选)已知双曲线 \(\Gamma\) 的一条渐近线方程为 \(\displaystyle y=-\frac{\sqrt{2}}{2}x\),则 \(\Gamma\) 的方程可能为
| 选项 | 内容 | 选项 | 内容 |
|---|---|---|---|
| A | \(\displaystyle \frac{x^2}2-y^2=1\) | I | \(\displaystyle \frac{y^2}2-x^2=1\) |
| B | \(\displaystyle x^2-\frac{y^2}2=1\) | J | \(\displaystyle y^2-\frac{x^2}2=1\) |
| C | \(\displaystyle 2x^2-y^2=1\) | K | \(\displaystyle 2y^2-x^2=1\) |
| D | \(\displaystyle x^2-2y^2=1\) | L | \(\displaystyle y^2-2x^2=1\) |
| E | \(\displaystyle \frac {x^2}{\sqrt {2}}- y^2= 1\) | M | \(\displaystyle \frac {y^2}{\sqrt {2}}- x^2= 1\) |
| F | \(\displaystyle x^2- \frac {y^2}{\sqrt {2}}= 1\) | N | \(\displaystyle y^2- \frac {x^2}{\sqrt {2}}= 1\) |
| G | \(\displaystyle \sqrt {2}x^{2}-y^{2}= 1\) | O | \(\displaystyle \sqrt {2}y^{2}-x^{2}= 1\) |
| H | \(\displaystyle x^{2}- \sqrt {2}y^{2}= 1\) | P | \(\displaystyle y^{2}- \sqrt {2}x^{2}= 1\) |
[试题来源:2012年安徽卷,2011年安徽卷,原创]
【每日一言】
其实我早就发现,人世间最劳心的事,莫过于人与人相互间的伪装和不真诚。人人都戴着面具生活,所以社会生活才会让人这样心力交瘁。 -《大海的礼物:寻找全新的自我》安妮·莫罗·林德伯格

【学生撰写过程】

【答案】

未完待续~
2025-03-20 12:15:27 星期四

其实我早就发现,人世间最劳心的事,莫过于人与人相互间的伪装和不真诚。人人都戴着面具生活,所以社会生活才会让人这样心力交瘁。
浙公网安备 33010602011771号