【每日一题】20250312
【每日一题】
-
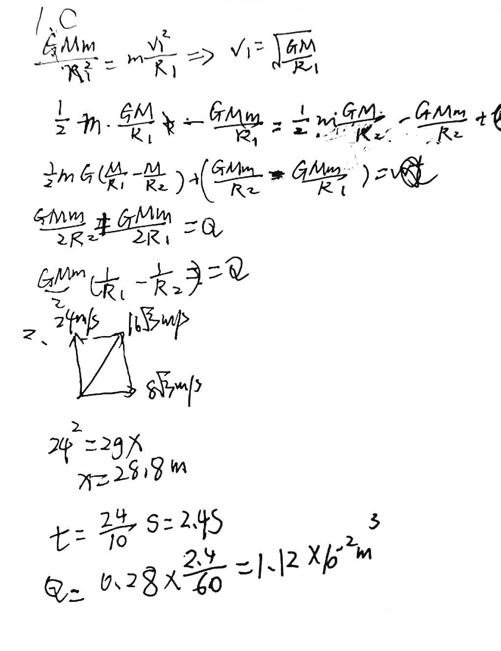
质量为 \(m\) 的人造地球卫星与地心的距离为 \(r\) 时,引力势能可表示为 \(\displaystyle E_{p}=-\frac{GMm}{r}\),其中 \(G\) 为引力常量,\(M\) 为地球质量.该卫星原来在半径为 \(R_{1}\) 的轨道上绕地球做匀速圆周运动,由于受到极稀薄空气的摩擦作用,飞行一段时间后其圆周运动的半径变为 \(R_{2}\),此过程中因摩擦而产生的热量为
A. \(\displaystyle GMm(\frac{1}{R_2}-\frac{1}{R_1})\)
B. \(\displaystyle GMm(\frac{1}{R_1}-\frac{1}{R_2})\)
C. \(\displaystyle \frac{GMm}2(\frac{1}{R_2}-\frac{1}{R_1})\)
D. \(\displaystyle \frac{GMm}2(\frac{1}{R_1}-\frac{1}{R_2})\) -
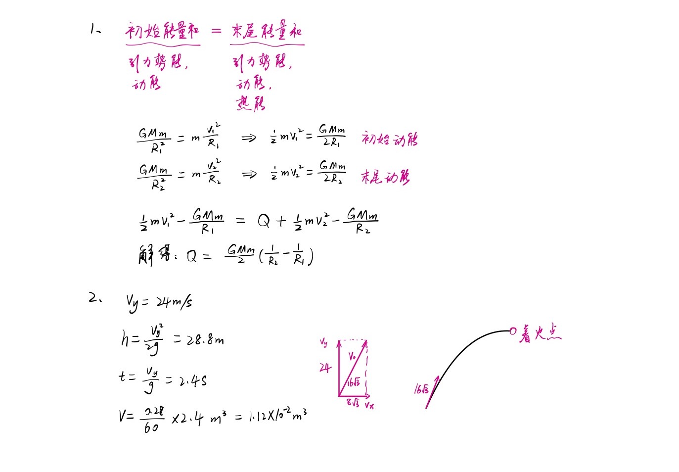
由消防水龙带的喷嘴喷出水的流量是 \(0.28 \; \mathrm{m}^3/\mathrm{min}\),水离开喷口时的速度大小为 \(16\sqrt{3} \; \mathrm{m/s}\),方向与水平面夹角为 \(60^\circ\),在最高处正好到达着火位置,忽略空气阻力,则空中水柱的高度和水量分别是(重力加速度 \(g\) 取 \(10 \; \mathrm{m/s}^2\))
A. \(28.8 \; \mathrm{m}\),\(1.12\times10^{-2} \; \mathrm{m}^3\)
B. \(28.8 \; \mathrm{m}\),\(0.672 \; \mathrm{m}^3\)
C. \(38.4 \; \mathrm{m}\),\(1.29\times10^{-2} \; \mathrm{m}^3\)
D. \(38.4 \; \mathrm{m}\),\(0.776 \; \mathrm{m}^3\)
[试题来源:2013年安徽卷]
【每日一言】
我没办法一边生活,一边蔑视生活。我得为自己找到一种全新的生活,即便这种找寻最后成了生活的唯一支撑。 -《坦纳兄妹》罗伯特.瓦尔泽

【学生撰写过程】

【答案】

未完待续~
2025-03-12 19:54:30 星期三

我没办法一边生活,一边蔑视生活。我得为自己找到一种全新的生活,即便这种找寻最后成了生活的唯一支撑。
浙公网安备 33010602011771号