【每日一题】20250310
【每日一题】
-
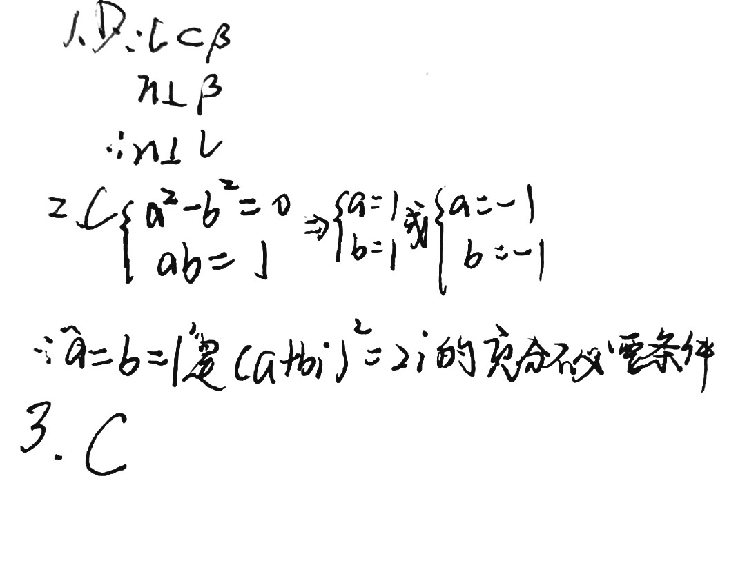
已知互相垂直的平面 \(\alpha\),\(\beta\) 交于直线 \(l\),若直线 \(m\),\(n\) 满足 \(m//\alpha\),\(n\bot\beta\),则
A. \(m//l\)
B. \(m// n\)
C. \(m\bot n\)
D. \(n\bot l\) -
已知 \(\mathrm{i}\) 是虚数单位,\(a,b\in\mathbf{R}\),则“\(a=b=1\)”是“\((a+b\mathrm{i})^2=2\mathrm{i}\)”的
A. 充分必要条件
B. 必要不充分条件
C. 充分不必要条件
D. 既不充分也不必要条件 -
(多选)函数 \(f(x)=nx^m(1-x)^n\) 在区间上的图象如图所示,则 \(m\),\(n\) 的值可能为
A. \(m= 1\),\(n= 2\)
B. \(m= 1\),\(n= 3\)
C. \(m=2\),\(n=1\)
D. \(m=3\),\(n=1\)
![image]()
[试题来源:2014年浙江卷,2016年浙江卷,2011年安徽卷]
【每日一言】
有舞台就好好演一个角色,没舞台也别只当一个看客。 -《曲终人在》周大新

【学生撰写过程】

【答案】

未完待续~

有舞台就好好演一个角色,没舞台也别只当一个看客。

浙公网安备 33010602011771号