【每日一题】20250401
【每日一题】
1.(5分)
\(\hspace{0.7cm}\)在某次光电效应实验中,得到的遏止电压 \(U_c\) 与入射光的频率 \(\nu\) 的关系如图 \(1\) 所示,若该直线的斜率和截距分别为 \(k\) 和 \(b\),电子电荷量的绝对值为 \(e\),则普朗克常量可表示为__________,所用材料的逸出功可表示为__________.
2.(10分)
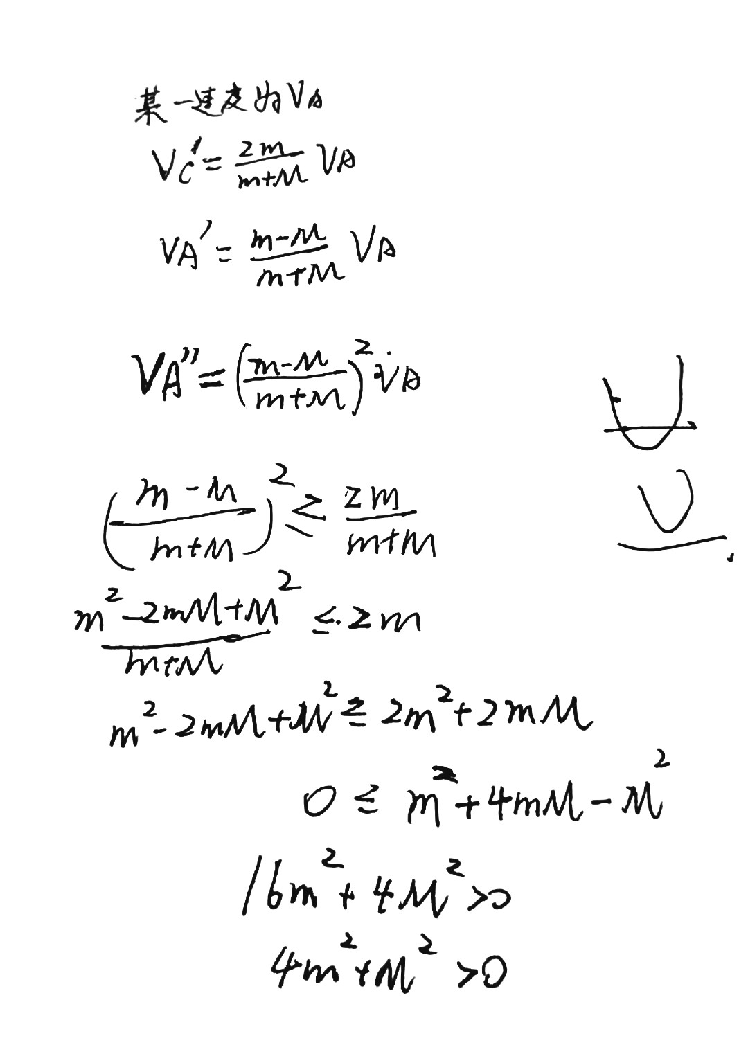
\(\hspace{0.7cm}\)如图 \(2\),在足够长的光滑水平面上,物体 \(\mathrm{A}\)、\(\mathrm{B}\)、\(\mathrm{C}\) 位于同一直线上,\(\mathrm{A}\) 位于 \(\mathrm{B}\)、\(\mathrm{C}\) 之间.\(\mathrm{A}\) 的质量为 \(m\), \(\mathrm{B}\)、\(\mathrm{C}\) 的质量都为 \(M\),三者均处于静止状态.现使 \(\mathrm{A}\) 以某一速度向右运动,求 \(m\) 和 \(M\) 之间应满足什么条件,才能使 \(\mathrm{A}\) 只与 \(\mathrm{B}\)、\(\mathrm{C}\) 各发生一次碰撞.设物体间的碰撞都是弹性的.

[试题来源:2015年新课标 I 卷]
【每日一言】
四月清和雨乍晴,南山当户转分明。
更无柳絮因风起,惟有葵花向日倾。
-《客中初夏》司马光

【学生撰写过程】


【答案】

未完待续~
2025-04-01 11:22:39 星期二

四月清和雨乍晴,南山当户转分明。
更无柳絮因风起,惟有葵花向日倾。
浙公网安备 33010602011771号