【每日一题】20250306
【每日一题】
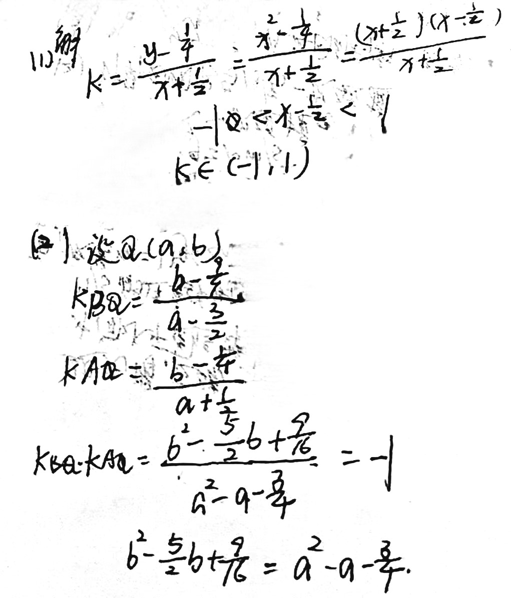
1.(17分)
\(\hspace{0.7cm}\)如图,已知抛物线 \(x^2=y\),点 \(\displaystyle A(-\frac{1}{2},\frac{1}{4})\),\(\displaystyle B(\frac{3}{2},\frac{9}{4})\),抛物线上的点 \(\displaystyle P(x,y)(-\frac{1}{2}<x<\frac{3}{2})\) 过点 \(B\) 作直线 \(AP\) 的垂线,垂足为 \(Q\).
\(\hspace{0.7cm}\)(1)求直线 \(AP\) 斜率的取值范围;
\(\hspace{0.7cm}\)(2)求 \(\left|PA\right|\cdot\left|PQ\right|\) 的最大值.

[试题来源:2017年浙江卷]
【每日一言】
人变老,只是一种身体上外表的现象,丝毫不能改变我们内心深处的、经历了几十年仍始终保持不变的愚蠢的自我。 -《绿蒂在魏玛》托马斯·曼

【学生撰写过程】

【答案】

未完待续~
2025-03-06 13:05:47 星期四

人变老,只是一种身体上外表的现象,丝毫不能改变我们内心深处的、经历了几十年仍始终保持不变的愚蠢的自我。
浙公网安备 33010602011771号