【每日一题】20250302
【每日一题】
1.(15分)
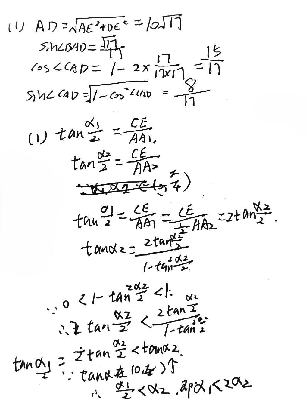
\(\hspace{0.7cm}\)十字测天仪广泛应用于欧洲中世纪晚期的航海领域,主要用于测量太阳等星体的方位,便于船员确定位置.如图 \(1\) 所示,十字测天仪由杆 \(AB\) 和横档 \(CD\) 构成,并且 \(E\) 是 \(CD\) 的中点,横档与杆垂直并且可在杆上滑动.十字测天仪的使用方法如下:如图 \(2\),手持十字测天仪,使得眼睛可以从 \(A\) 点观察.滑动横档 \(CD\) 使得 \(A\),\(C\) 在同一水平面上,并且眼睛恰好能观察到太阳,此时视线恰好经过点 \(D\) , \(DE\) 的影子恰好是 \(AE\).然后,通过测量 \(AE\) 的长度,可计算出视线和水平面的夹角 \(\angle CAD\)(称为太阳高度角),最后通过查阅地图来确定船员所在的位置.

\(\hspace{0.7cm}\)(1)在某次测量中,\(AE = 40\),横档的长度为 \(20\),求太阳高度角的正弦值;
\(\hspace{0.7cm}\)(2)在杆 \(AB\) 上有两点 \(A_1\),\(A_2\) 满足 \(\displaystyle AA_1=\frac12AA_2\).当横档 \(CD\) 的中点 \(E\) 位于 \(A_i \; (i=1,2)\) 时,记太阳高度角为 \(\alpha_i\),其中 \(\alpha_1\),\(\alpha_2\) 都是锐角.证明:\(\alpha_1<2\alpha_2\).
[试题来源:2023年Fiddie高考模拟试题]
【每日一言】
受感动,就是用心在呼吸。 -《被伤害的空气》彼埃尔.勒韦尔迪

【学生撰写过程】

【答案】

未完待续~
2025-03-02 15:04:50 星期日

受感动,就是用心在呼吸。
浙公网安备 33010602011771号