【每日一题】20250327
【每日一题】
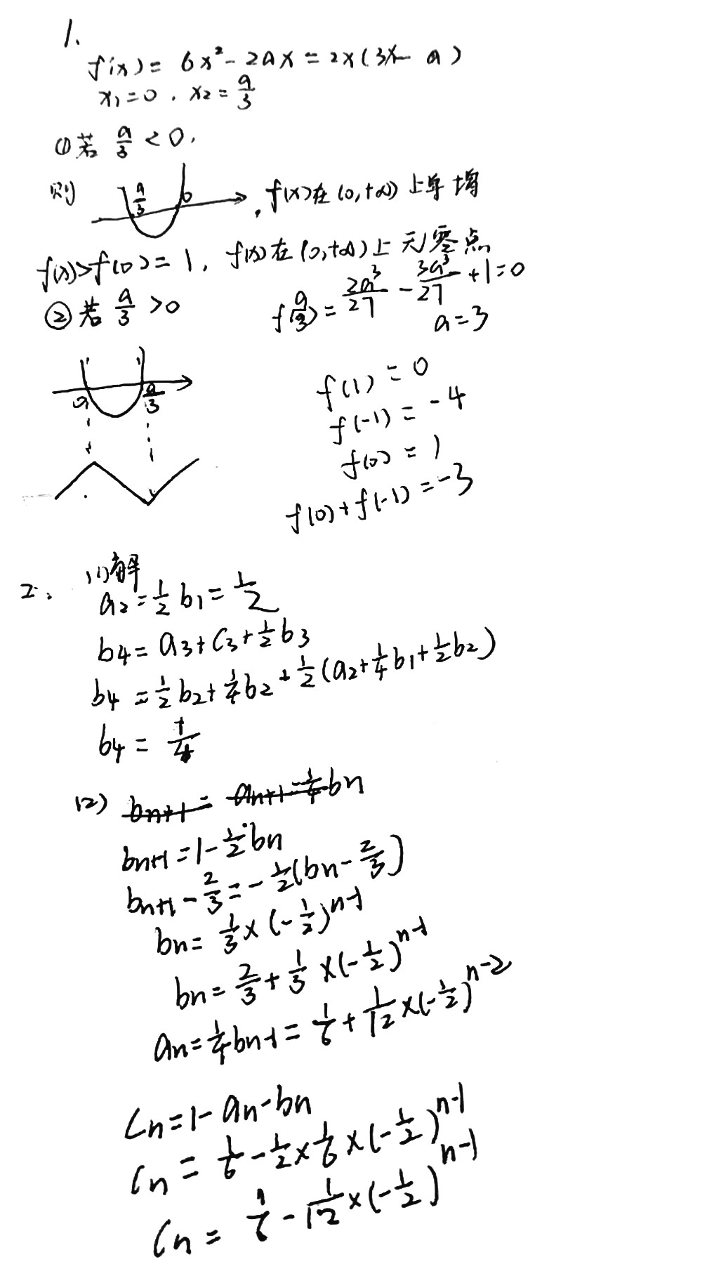
1.(5分)
\(\hspace{0.7cm}\)若函数 \(f\left(x\right)=2x^{3}-ax^{2}+1 \; (a\in\mathbf{R})\) 在 \((0,+\infty)\) 内有且只有一个零点,则 \(f(x)\) 在 \([-1,1]\) 上的最大值与最小值的和为____________.
2.(15分)
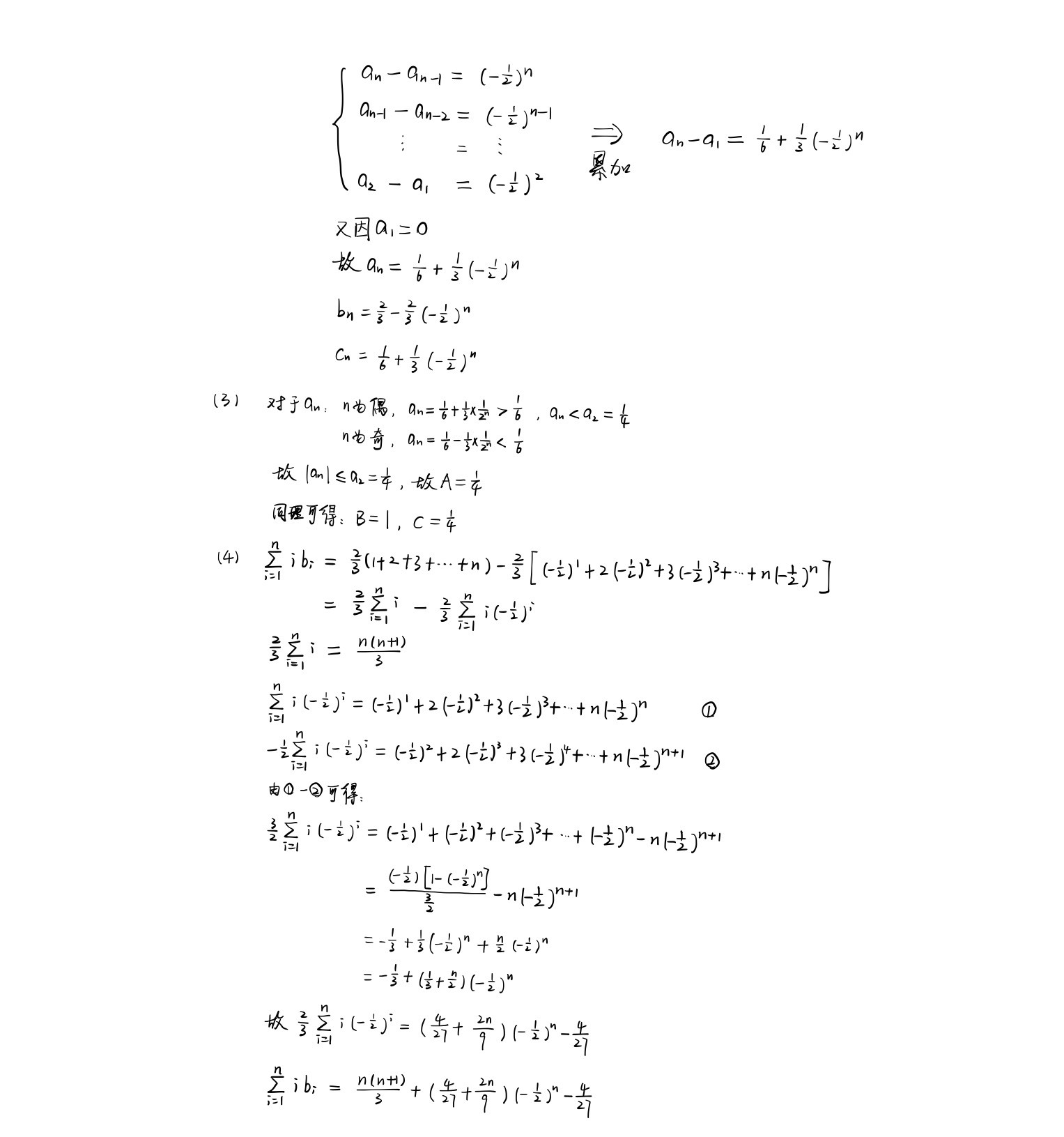
\(\hspace{0.7cm}\)已知数列 \(\{a_n\}\),\(\{b_n\}\) 和 \(\{c_n\}\) 满足:
\[a_{n+1}=\frac14b_n
\]
\[b_{n+1}=a_n+c_n+\frac12b_n
\]
\[c_{n+1}=\frac14b_n
\]
且 \(a_n+b_n+c_{n}=1\),\(a_1=0\),\(b_1=1\),\(\displaystyle b_2=\frac12\).若 \(|a_n| \leqslant A\),\(|b_n| \leqslant B\) 和 \(|c_n| \leqslant C\) 均恒成立.求:
\(\hspace{0.7cm}\)(1)\(a_2\),\(b_4\);
\(\hspace{0.7cm}\)(2)\(\{a_n\}\),\(\{b_n\}\) 和 \(\{c_n\}\) 的通项公式;
\(\hspace{0.7cm}\)(3)\(A\),\(B\) 和 \(C\);
\(\hspace{0.7cm}\)(4)\(\displaystyle \sum_{i=1}^{n}ib_i\).
[试题来源:2018年江苏卷,原创]
【每日一言】
改变不了的事,不值得烦恼。 -《一个人张灯结彩》田耳

【学生撰写过程】

【答案】


未完待续~
2025-03-27 12:06:05 星期四

改变不了的事,不值得烦恼。
浙公网安备 33010602011771号