【每日一题】20250309
【每日一题】
-
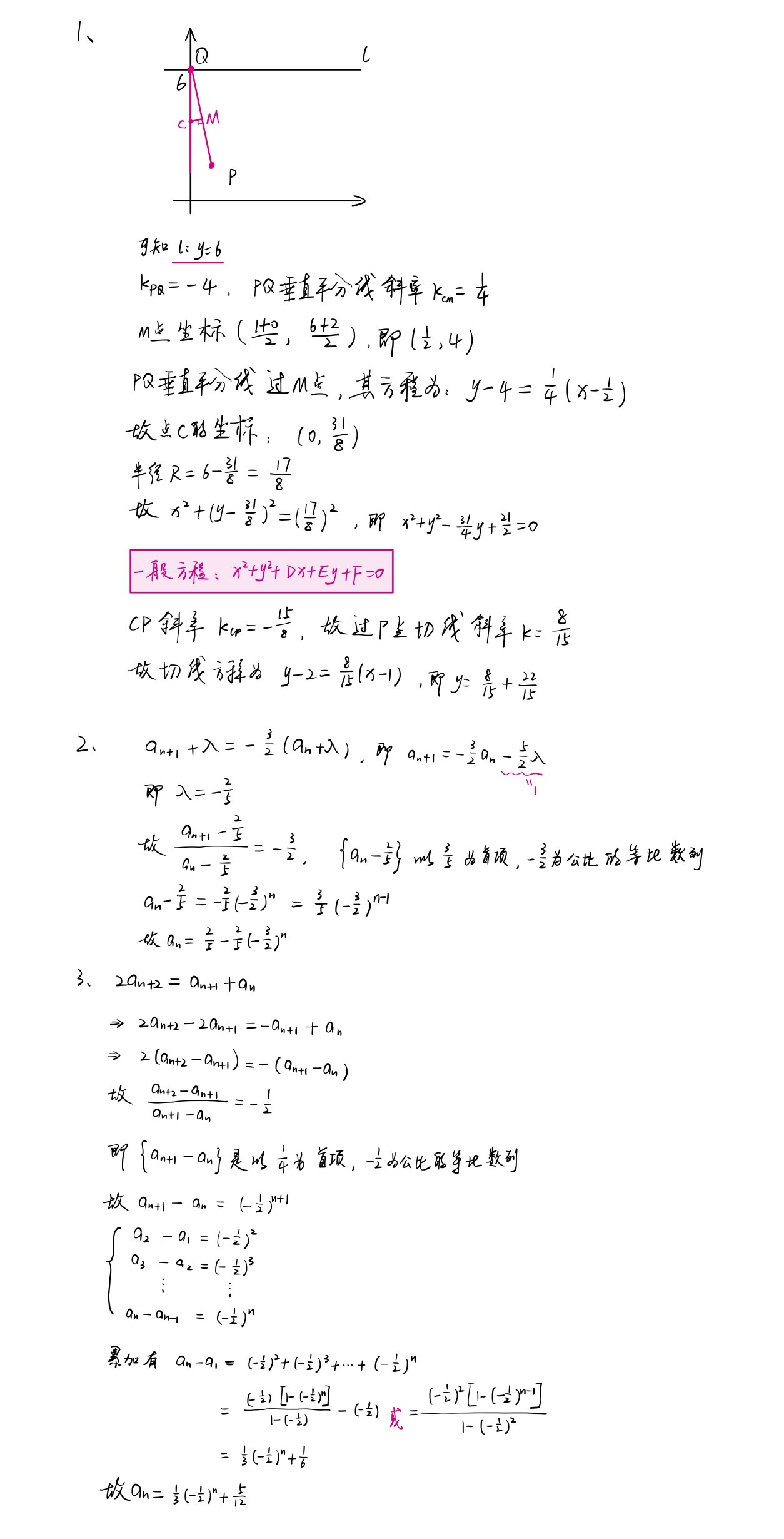
已知 \(\odot C\) 过点 \(P(1,2)\),与 \(y\) 轴相交于点 \(Q(0,6)\).若过点 \(Q\) 作 \(\odot C\) 的切线 \(l\),其切线 \(l\) 与 \(x\) 轴平行,则 \(l\) 的方程为_________,\(\odot C\) 的一般方程为_________,过点 \(P\) 作 \(\odot C\) 的切线为_________.
-
已知数列 \(\{a_n\}\) 满足 \(2a_{n+1}=-3a_{n}+2\),且 \(a_1=1\),则 \(a_n=\)_________.
-
已知数列 \(\{a_n\}\) 满足 \(2a_{n+2}=a_n+a_{n+1}\),且 \(a_1=0\),\(\displaystyle a_2=\frac 14\),则 \(a_n=\)_________.
[试题来源:原创]
【每日一言】
我所渴望的,不过是过上一种发自本心的生活,为什么竟会如此困难? -《德米安》赫尔曼.黑塞

【学生撰写过程】

【答案】

未完待续~
2025-03-09 18:54:00 星期日

我所渴望的,不过是过上一种发自本心的生活,为什么竟会如此困难?
浙公网安备 33010602011771号