【每日一题】20250304
【每日一题】
1.(20分)
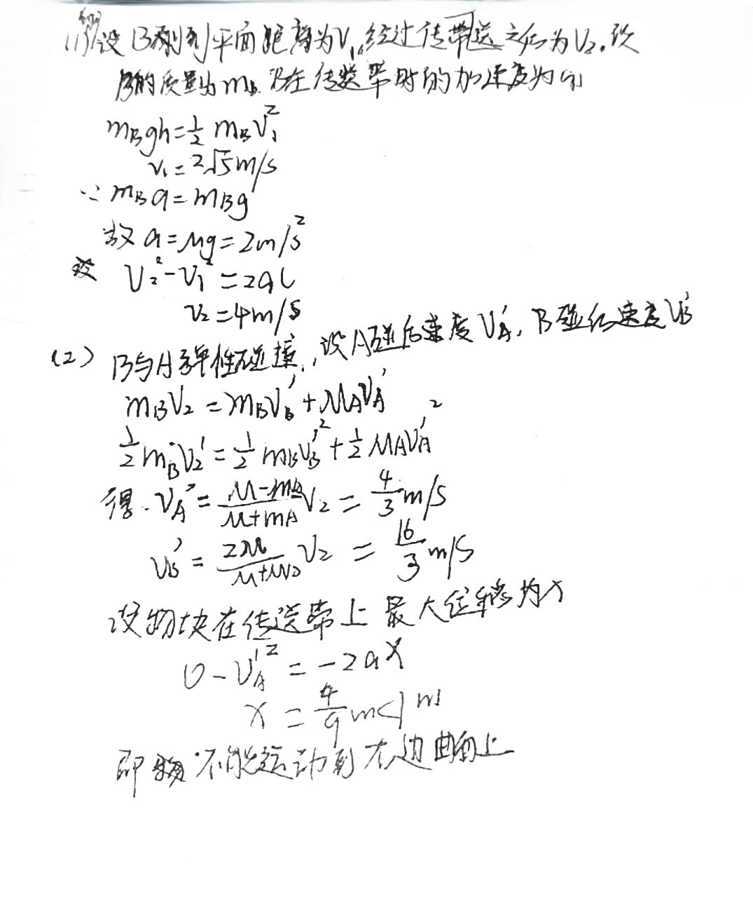
\(\hspace{0.7cm}\)如图所示,装置的左边是足够长的光滑水平台面,一轻质弹黄左端固定,右端连接着质量 \(M=2 \; \mathrm{kg}\) 的小物块 \(A\).装置的中间是水平传送带,它与左右两边的台面等高,并能平滑对接.传送带始终以 \(v=2 \; \mathrm{m/s}\) 的速率逆时针转动.装置的右边是一光滑曲面,质量 \(m=1 \; \mathrm{kg}\) 的小物块 \(B\) 从其上距水平台面高 \(h=1.0 \; \mathrm{m}\) 处由静止释放.已知物块 \(B\) 与传送带之间的动摩擦因数 \(\mu=0.2\),\(l=1.0 \; \mathrm{m}\).设物块 \(A\)、\(B\) 间发生的是对心弹性碰撞,第一次碰撞前物块 \(A\) 静止且处于平衡状态.取 \(g=10\; \mathrm{m/s^{2}}\).
\(\hspace{0.7cm}\)(1)求物块 \(B\) 与物块\(A\) 第一次碰撞前的速度大小;
\(\hspace{0.7cm}\)(2)通过计算说明物块 \(B\) 与物块 \(A\) 第一次碰撞后能否运动到右边的曲面上?
\(\hspace{0.7cm}\)(3)如果物块 \(A\),\(B\) 每次碰撞后,物块 \(A\) 再回到平衡位置时都会立即被锁定,而当它们再次碰撞前锁定被解除,试求出物块 \(B\) 第 \(n\) 次碰撞后的运动速度大小.

[试题来源:2012年安徽卷]
【每日一言】
人可以生存在任意的空间里,却不可以生存在任意的时间里。时间的霸道与冷漠,令人绝望和悲伤。 -《漫天芦花》王跃文

【学生撰写过程】

【答案】

未完待续~
2025-03-04 20:18:20 星期二

人可以生存在任意的空间里,却不可以生存在任意的时间里。时间的霸道与冷漠,令人绝望和悲伤。
浙公网安备 33010602011771号