【每日一题】20250225
【每日一题】
- 一列简谐波沿 \(x\) 轴正方向传播,在 \(t=0\) 时波形如图 \(1\) 所示,已知波速为 \(10 \; \mathrm{m/s}\).则 \(t=1 \; \mathrm{s}\) 时正确的波形应是图 \(2\) 中的
![image]()
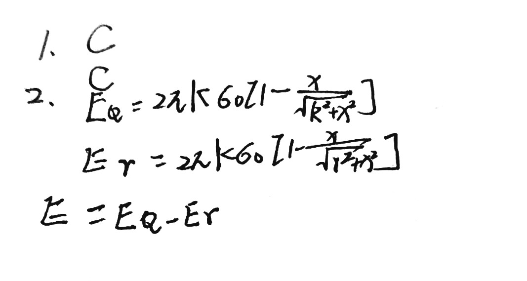
- 如图 \(1\) 所示,半径为 \(R\) 的均匀带电圆形平板,单位面积带电量为 \(\sigma\),其轴线上任意一点 \(P\)(坐标为 \(x\))的电场强度可以由库仑定律和电场强度的叠加原理求出:\(\displaystyle E=2\pi k\sigma\left[1-\frac x{(R^2+x^2)^{1/2}}\right]\),方向沿 \(x\) 轴.现考虑单位面积带电量为 \(\sigma_{0}\) 的无限大均匀带电平板,从其中间挖去一半径为 \(r\) 的圆板,如图 \(2\) 所示.则圆孔轴线上任意一点 \(Q\)(坐标为 \(x\))的电场强度为
A. \(\displaystyle 2\pi k\sigma_0\frac{x}{(r^2+x^2)^{1/2}}\)
B. \(\displaystyle 2\pi k\sigma_0\frac{r}{(r^2+x^2)^{1/2}}\)
C. \(\displaystyle 2\pi k\sigma_0\frac{x}{r}\)
D. \(\displaystyle 2\pi k\sigma_0\frac{r}{x}\)
![image]()
[试题来源:2012年安徽卷]
【每日一言】
我始终以为我想要被爱、被仰慕。如今想想,说不定我想要被了解。 -《夜莺》克莉丝汀·汉娜

【学生撰写过程】

【答案】

未完待续~

我始终以为我想要被爱、被仰慕。如今想想,说不定我想要被了解。


浙公网安备 33010602011771号