【每日一题】20250124
【每日一题】
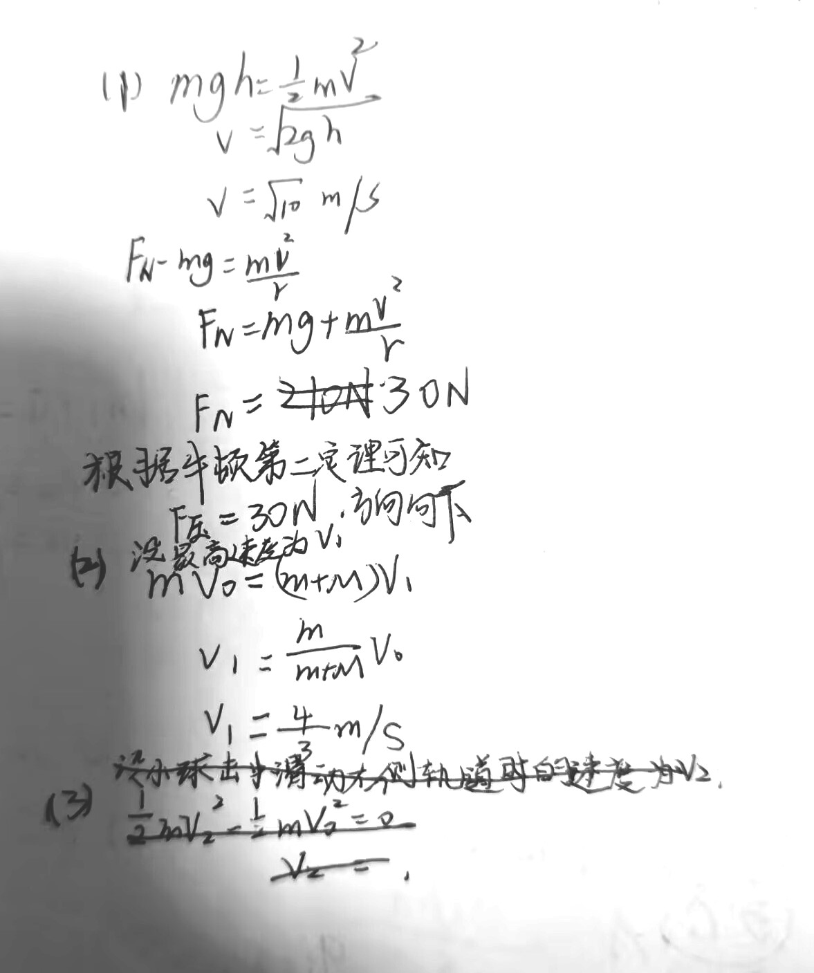
1.(20分)
\(\hspace{0.6cm}\)如图所示,质量 \(M=2 \; \mathrm{kg}\) 的滑块套在光滑的水平轨道上,质量 \(m=1 \; \mathrm{kg}\) 的小球通过长 \(L=0.5 \; \mathrm{m}\) 的轻质细杆与滑块上的光滑轴 \(O\) 连接,小球和轻杆可在竖直平面内绕 \(O\) 轴自由转动,开始轻杆处于水平状态.现给小球一个竖直向上的初速度 \(v_0=4 \; \mathrm{m/s}\),\(g\) 取 \(10 \; \mathrm{m/s}^2\).
\(\hspace{0.6cm}\)(1)若锁定滑块,试求小球通过最高点 \(P\) 时对轻杆的作用力;
\(\hspace{0.6cm}\)(2)若解除对滑块的锁定,试求小球通过最高时的速度大小;
\(\hspace{0.6cm}\)(3)在满足(2)的条件下,试求小球击中滑块右侧轨道位置点与小球起始位置点间的距离.

[试题来源:2011年安徽卷]
【每日一言】
读书就是这样好,无论心不在焉,板着长脸,只要考试及格,就是一个及格的人。 -《喜宝》亦舒

【学生撰写过程】

【答案】

未完待续~
2025-01-24 14:10:30 星期五

读书就是这样好,无论心不在焉,板着长脸,只要考试及格,就是一个及格的人。
浙公网安备 33010602011771号