【每日一题】20250118
【每日一题】
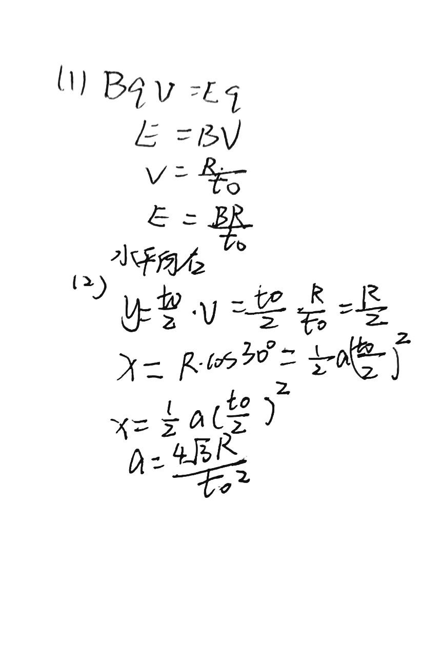
1.(16分)
\(\hspace{0.6cm}\)如图所示,在以坐标原点 \(O\) 为圆心、半径为 \(R\) 的半圆形区域内,有相互垂直的匀强电场和匀强磁场,磁感应强度为 \(B\),磁场方向垂直于 \(xOy\) 平面向里.一带正电的粒子(不计重力)从 \(O\) 点沿 \(y\) 轴正方向以某一速度射入,带电粒子恰好做匀速直线运动,经 \(t_0\) 时间从 \(P\) 点射出.
\(\hspace{0.6cm}\)(1)求电场强度的大小和方向;
\(\hspace{0.6cm}\)(2)若仅撤去磁场,带电粒子仍从 \(O\) 点以相同的速度射入,经 \(\displaystyle \frac{t_0}2\) 时间恰从半圆形区域的边界射出.求粒子运动加速度的大小;
\(\hspace{0.6cm}\)(3)若仅撤去电场,带电粒子仍从 \(O\) 点射入,但速度为原来的 \(4\) 倍,求粒子在磁场中运动的时间.

[试题来源:2011年安徽卷]
【每日一言】
我是时间唯一的主人。成为自己的时间的主人是一种奢侈。我认为这是人类能够送给自己的最奢侈的东西之一。 -《墓园的花要常换水》瓦莱莉.佩兰

【学生撰写过程】

【答案】

未完待续~
2025-01-18 16:46:18 星期六

我是时间唯一的主人。成为自己的时间的主人是一种奢侈。我认为这是人类能够送给自己的最奢侈的东西之一。
浙公网安备 33010602011771号