【每日一题】20250108
【每日一题】
-
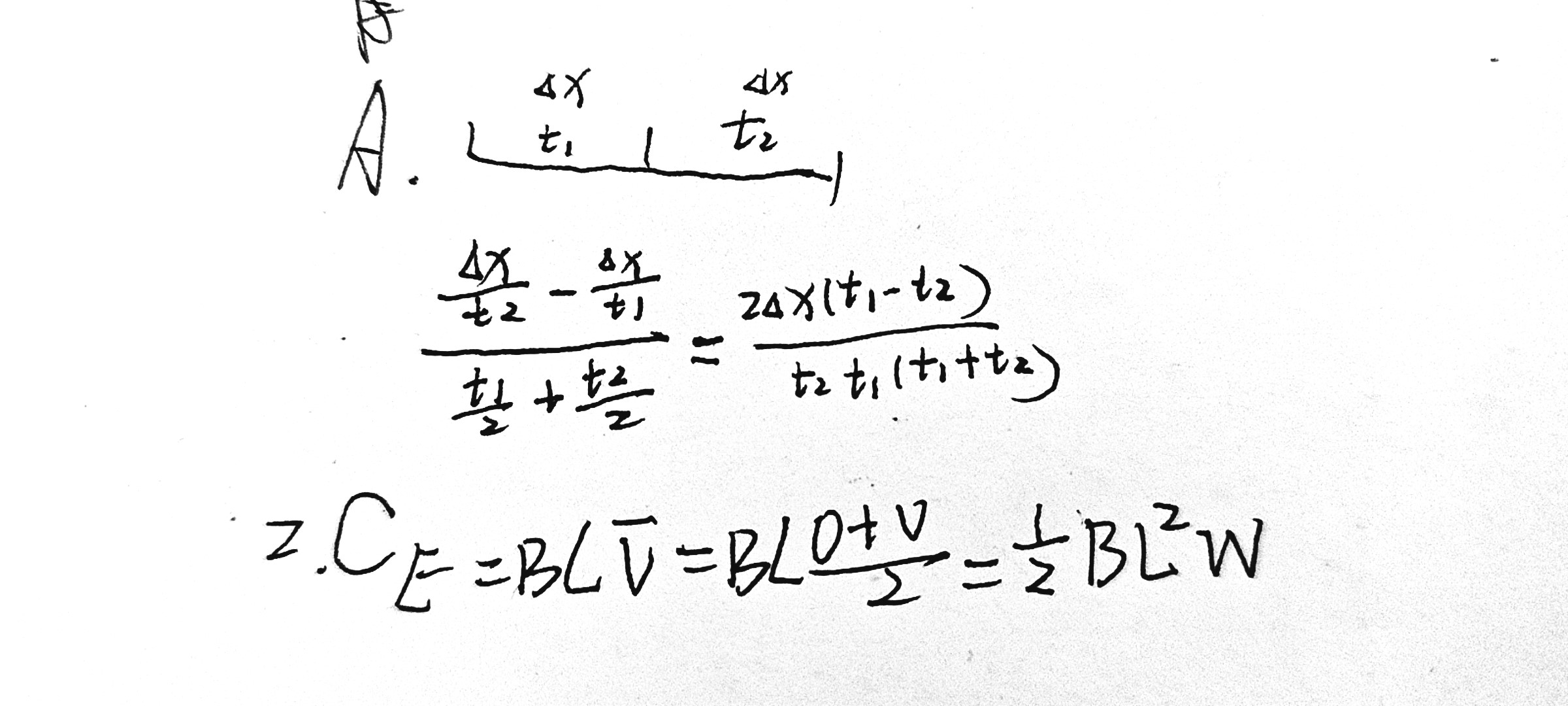
一物体作匀加速直线运动,通过一段位移 \(\Delta x\) 所用的时间为 \(t_1\),紧接着通过下一段位移 \(\Delta x\) 所用时间为 \(t_2\).则物体运动的加速度为
A. \(\displaystyle \frac {2\Delta x( t_{1}- t_{2}) }{t_{1}t_2 ( t_{1}+ t_2 ) }\)
B. \(\displaystyle \frac {2\Delta x( t_{1}+ t_{2}) }{t_{1}t_{2}( t_{1}- t_{2}) }\)
C. \(\displaystyle \frac {\Delta x( t_{1}- t_{2}) }{t_{1}t_{2}( t_{1}+ t_{2}) }\)
D. \(\displaystyle \frac{\Delta x(t_{1}+t_{2})}{t_{1}t_{2}(t_{1}-t_{2})}\) -
如图所示的区域内有垂直于纸面的匀强磁场,磁感应强度为 \(B\).电阻为 \(R\)、半径为 \(L\)、圆心角为 \(45^{\circ}\) 的扇形闭合导线框绕垂直于纸面的 \(O\) 轴以角速度 \(\omega\) 匀速转动(\(O\) 轴位于磁场边界).则线框内产生的感应电流的有效值为
A. \(\displaystyle \frac{BL^{^2}\omega}{2R}\)
B. \(\displaystyle \frac{BL^{^2}\omega}{4R}\)
C. \(\displaystyle \frac{\sqrt{2}BL^2\omega}{2R}\)
D. \(\displaystyle \frac{\sqrt{2}BL^2\omega}{4R}\)
![image]()
[试题来源:2011年安徽卷]
【每日一言】
路的尽头什么都没有。但在路上遇见的不起眼的瞬间和记忆,最终会成就我们。-《走路的人》河正宇

【学生撰写过程】

【答案】

未完待续~
2025-01-08 14:20:06 星期三

路的尽头什么都没有。但在路上遇见的不起眼的瞬间和记忆,最终会成就我们。

浙公网安备 33010602011771号