【每日一题】20250109
【每日一题】
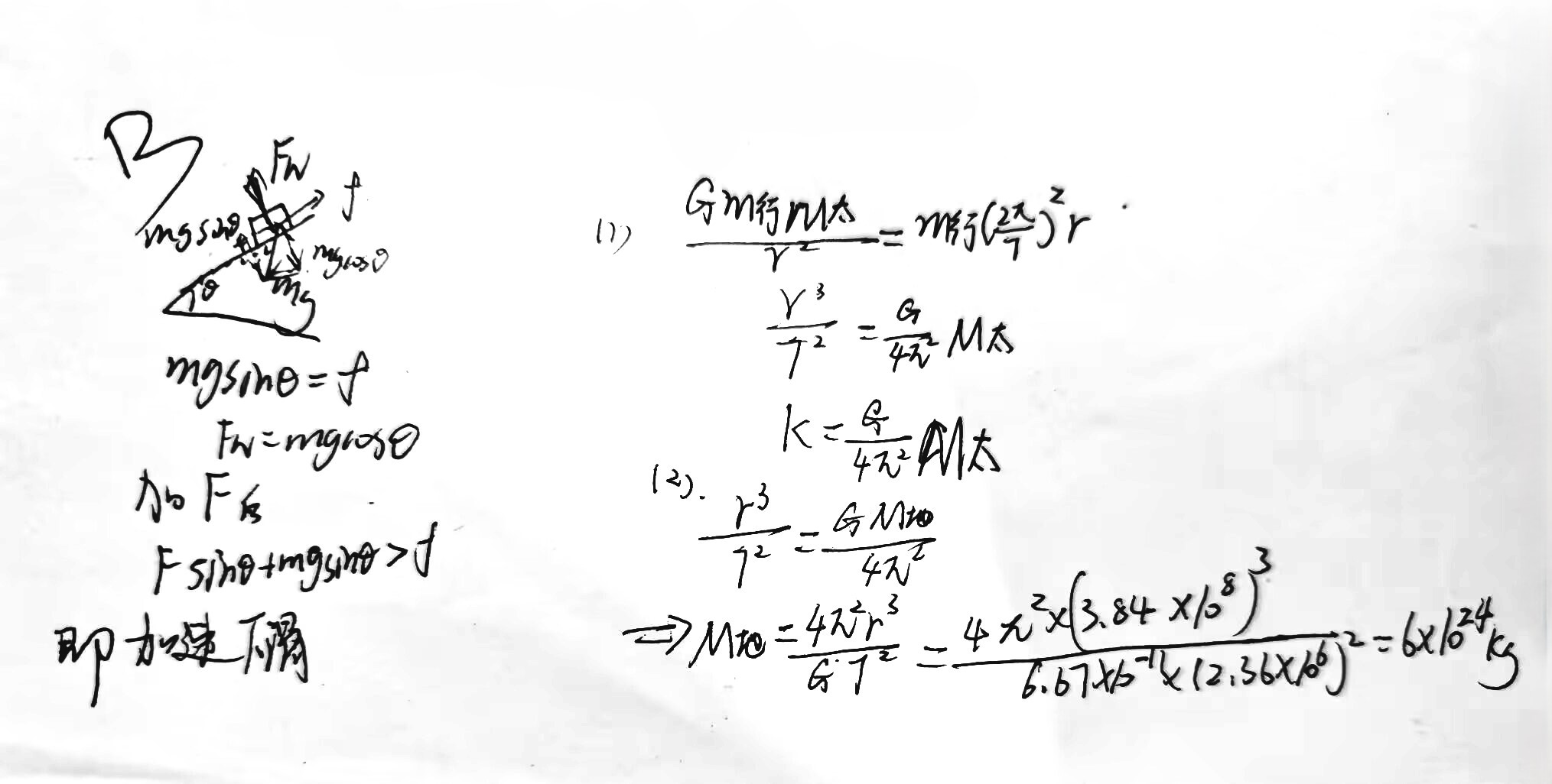
- (多选)一质量为 \(m\) 的物块恰好静止在倾角为 \(\theta\) 的斜面上,现对物块施加一个竖直向下的恒力 \(F\),如图所示.则物块
A. 仍处于静止状态
B. 沿斜面加速下滑
C. 受到的摩擦力不变
D. 受到的合外力增大
E. 受到斜面的压力增大
![image]()
2.(14分)
\(\hspace{0.7cm}\)(1)开普勒行星运动第三定律指出:行星绕太阳运动的椭圆轨道的半长轴 \(a\) 的三次方与它的公转周期 \(T\) 的二次方成正比,即 \(\displaystyle \frac{a^3}{T^2}=k\),\(k\) 是一个对所有行星都相同的常量.将行星绕太阳的运动按圆周运动处理,请你推导出太阳系中该常量 \(k\) 的表达式.已知引力常量为 \(G\),太阳的质量为 \(M_S\).
\(\hspace{0.7cm}\)(2)开普勒定律不仅适用于太阳系,它对一切具有中心天体的引力系统(如地月系统)都成立.经测定月地距离为 \(3.84 \times 10^8 \; \mathrm{m}\),月球绕地球运动的周期为 \(2.36 \times 10^6 \; \mathrm{s}\),试计算地球的质量 \(M_E\).(\(G=6.6710 \times 10^{-11} \; \mathrm{Nm}^{2}/\mathrm{kg}^{2}\),结果保留一位有效数字)
[试题来源:2011年安徽卷]
【每日一言】
我在城市找不到存在感,每天不知道太阳从何方升起,又落向哪里,四季跟我的生活没有关系。我只看到树叶青了又黄了,春天来了,又去了。我在一岁岁地长年纪,一道道地长皱纹。 -《把地上的事往天上聊》刘亮程

【学生撰写过程】

【答案】

未完待续~
2025-01-09 11:47:40 星期四

我在城市找不到存在感,每天不知道太阳从何方升起,又落向哪里,四季跟我的生活没有关系。我只看到树叶青了又黄了,春天来了,又去了。我在一岁岁地长年纪,一道道地长皱纹。

浙公网安备 33010602011771号