【每日一题】20250219
【每日一题】
-
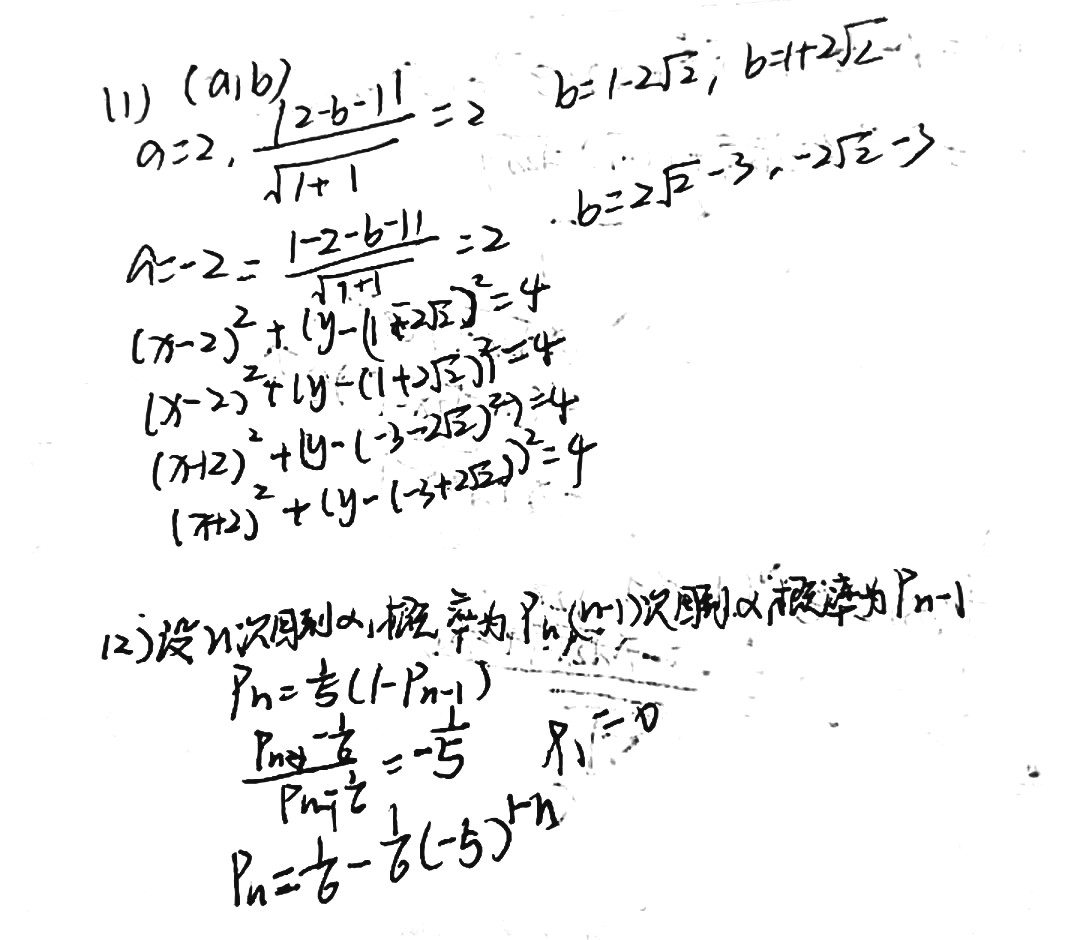
已知直线 \(l\):\(y=x-1\),直径为 \(4\) 的圆 \(C\) 与直线 \(l\) 和 \(y\) 轴均相切,则圆 \(C\) 的方程为:___________.
-
一只小虫子停留在悬浮于空中的正方体漂浮物的一个侧面 \(\alpha_1\) 上,小虫子每一次从一个侧面随机地爬行到与该侧面相邻的一个侧面上,则它在 \(n\) 次(\(n\in\mathbb{N}^{\star}\))爬行后回到侧面 \(\alpha_1\) 上的概率为_________.(假设小虫子不在正方体的棱和顶点上停留)
[试题来源:原创,某联赛]
【每日一言】
你知道吗,人的脸上的空间是有限的。如果你的脸上满是笑容,就腾不出地方流泪了。 -《大地之上》罗欣顿.米斯特里

【学生撰写过程】

【答案】


未完待续~
2025-02-19 11:14:31 星期三

你知道吗,人的脸上的空间是有限的。如果你的脸上满是笑容,就腾不出地方流泪了。
浙公网安备 33010602011771号