【每日一题】20250125
【每日一题】
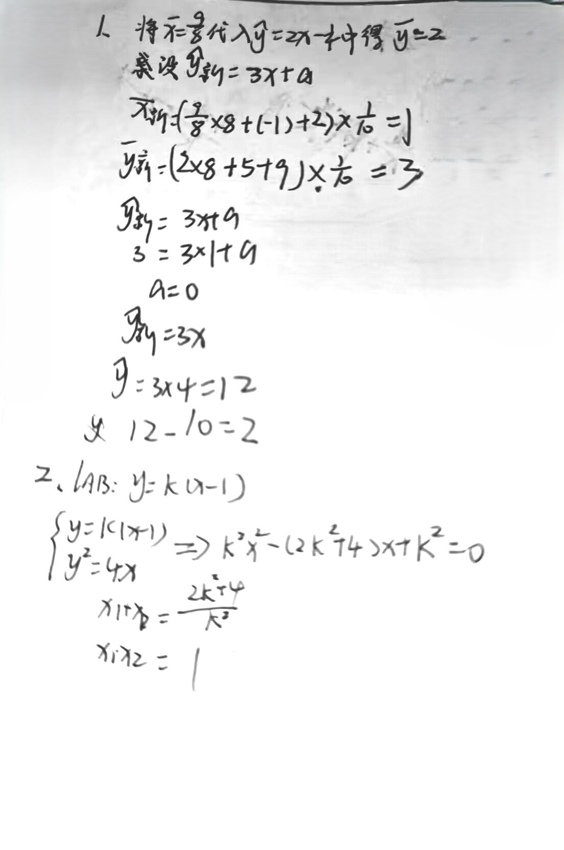
- 已知变量 \(x\) 和变量 \(y\) 的一组成对样本数据为 \((x_i,y_i)(i=1,2,3,\cdotp\cdotp\cdotp,8)\),其中 \(\displaystyle \bar x=\frac98\),其回归直线方程为 \(\displaystyle \hat{y}=2x-\frac14\),当增加两个样本数据 \((-1,5)\) 和 \((2,9)\) 后,重新得到的回归直线方程斜率为 \(3\),则在新的回归直线方程的估计下,样本数据 \((4,10)\) 所对应的残差为_______.
- 已知直线 \(l\) 经过抛物线 \(C\):\(y^2=4x\) 的焦点,且与抛物线交于 \(A\),\(B\) 两点.若使得 \(\overrightarrow{OP}=\overrightarrow{OA}+\overrightarrow{OB}\) 成立的点 \(P\) 的横坐标为 \(3\),则四边形 \(OAPB\) 的面积为_______.
[试题来源:2025年T8联考]
【每日一言】
不等和等下去,同样苦涩。 -《献灯使》多和田叶子

【学生撰写过程】

【答案】

未完待续~
2025-01-25 16:14:49 星期六

不等和等下去,同样苦涩。
浙公网安备 33010602011771号