【每日一题】20241215
【每日一题】
- 已知复数 \(z\) 在复平面内对应的点位于第四象限,且满足 \(|z|=\sqrt{3}\),\(|z^2+2z-3|=2\sqrt{6}\),则 \(z=\)________.
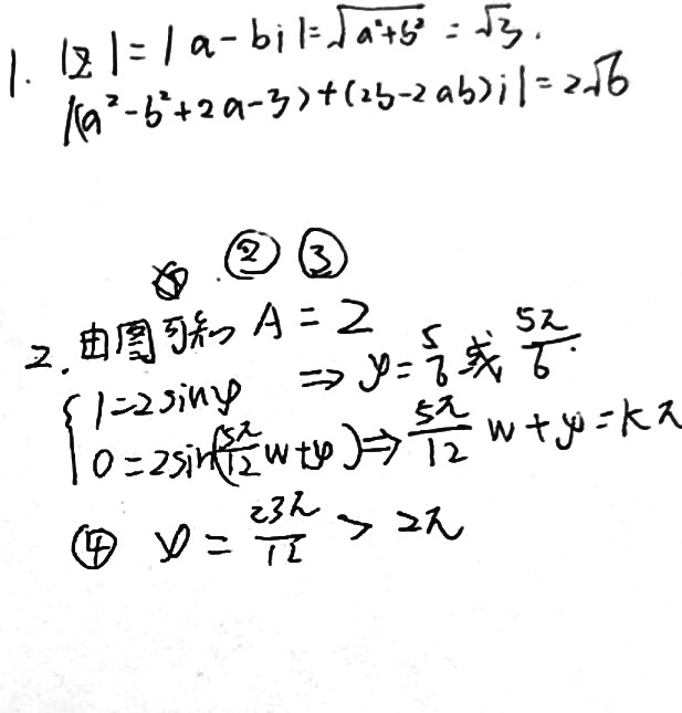
- 已知函数 \(f(x)=A\sin(\omega x+\varphi)(A>0,0<\varphi<2\pi)\) 的部分图象如图所示,则下列命题正确的为_________(写出所有正确命题的编号).
①. \(A=1\)
②. \(\displaystyle \omega=\frac{24}{5}\)
③. \(\displaystyle \varphi=\frac{\pi}{12}\)
④. \(\displaystyle \varphi=\frac{23\pi}{12}\)
⑤. \(f(x)\) 在区间 \(\displaystyle \left[-\frac\pi3,\frac\pi6\right]\) 上单调递增
⑥. \(f(x)\) 图象的一条对称轴方程为 \(\displaystyle x=\frac{2\pi}{3}\)
⑦. \(f(x)\) 图象的一个对称中心为点 \(\displaystyle \left(\frac{11\pi}{12},0\right)\)
⑧. \(f(x)\) 在区间 \(\displaystyle \left[0,\frac\pi4\right]\) 上的值域为 \([1,\sqrt{3}\)]
![image]()
[试题来源:某联赛试题,2025年T8联考]
【每日一言】
每一个人的生活,各有各的隐情,各有各的来由,各有各的寂寞,也最终各有各的前程。李梓新 from《困在底层的人》

【学生撰写过程】

【答案】

未完待续~
2024-12-15 19:25:18 星期日

每一个人的生活,各有各的隐情,各有各的来由,各有各的寂寞,也最终各有各的前程。

浙公网安备 33010602011771号