【每日一题】20241222
【每日一题】
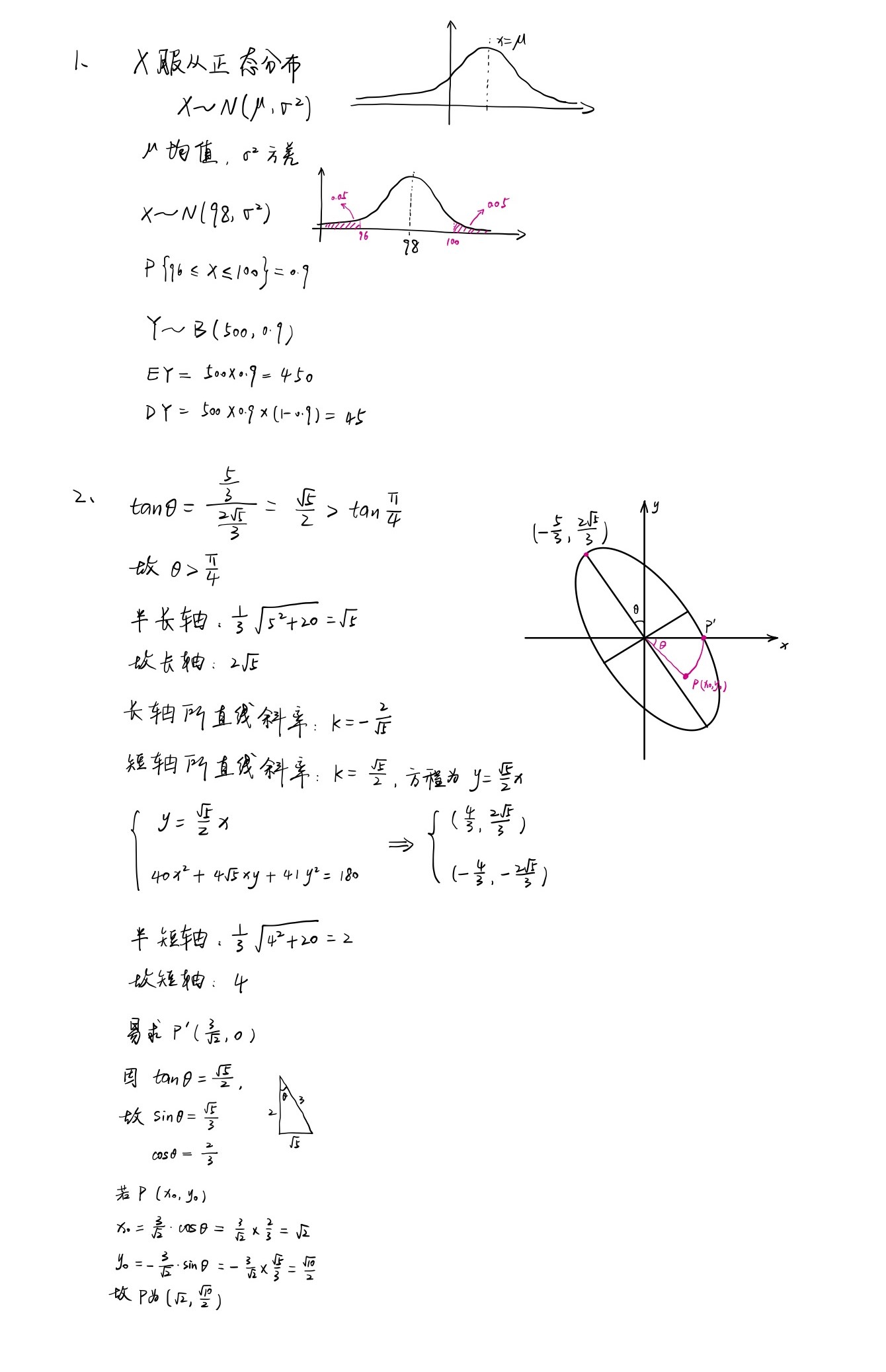
- 某流水线上生产的一批零件,其规格指标 \(X\) 可以看作一个随机变量,且 \(X\sim N(98,\sigma^2)\), 对于 \(X \geqslant 100\) 的零件即为不合格,不合格零件出现的概率为 \(0.05\).现从这批零件中随机抽取 \(500\) 个,记 \(Y\) 表示该 \(500\) 个零件的规格指标 \(X\) 位于区间 \((96,100)\) 的个数,则随机变量 \(Y\) 的方差是_________.
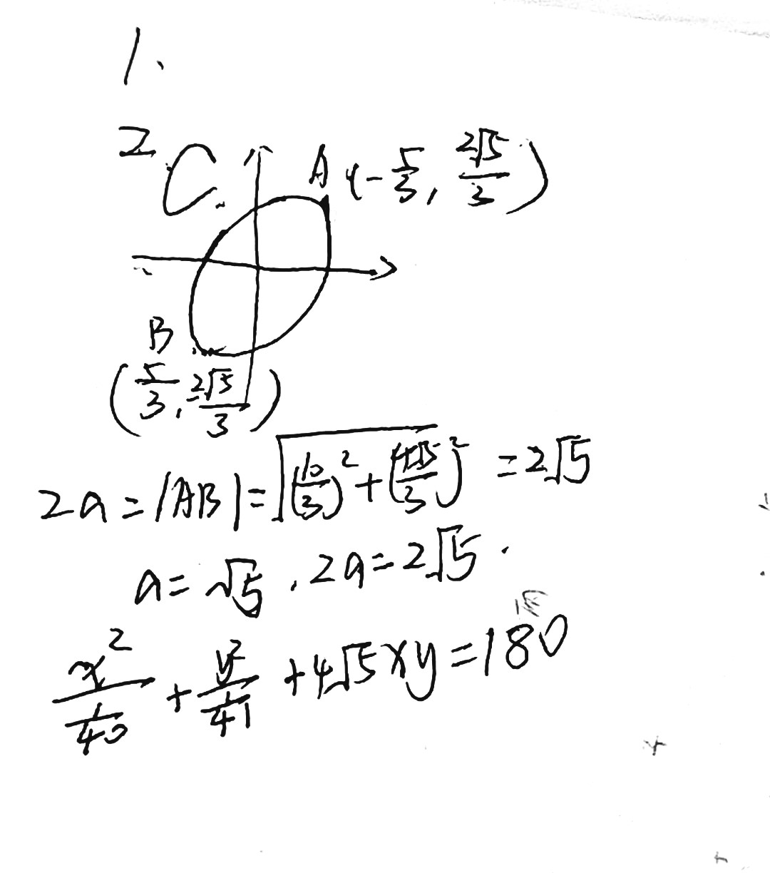
- (多选)在平面直角坐标系 \(xOy\) 中,设曲线 \(C\) 为中心在原点且长轴落在 \(y\) 轴上的椭圆.已知将 \(C\) 绕原点逆时针旋转 \(\theta\) 角(其中 \(0<\theta<\pi\))得到新椭圆 \(C^{\prime}\):\(40x^2+4\sqrt5xy+41y^2=180\),点 \(\displaystyle (-\frac53,\frac{2\sqrt5}3)\) 为 \(C^{\prime}\) 上离原点最远的两点之一,在 \(C\) 上的一点 \(P\) 经由此旋转后得到的点 \(P^\prime\) 落在 \(x\) 轴上,且点 \(P^\prime\) 的横坐标大于 \(0\),则
A. \(\displaystyle 0<\theta<\frac{\pi}4\)
B. 椭圆 \(C\) 的短轴长为 \(4\)
C. 椭圆 \(C\) 的长轴长为 \(2\sqrt{5}\)
D. 点 \(P\) 的坐标为 \(\displaystyle (\frac{\sqrt{2}}{2},-\frac{\sqrt{10}}{4})\)
[试题来源:2025年某联考,2023年大学入学考试(台湾)改编]
【每日一言】
记住,只有软弱的人才从他人身上寻求回报。我们的回报是我们自己。 -《我该走了吗》李翊云

【学生撰写过程】

【答案】

未完待续 ~
2024-12-22 19:18:41 星期日

记住,只有软弱的人才从他人身上寻求回报。我们的回报是我们自己。
浙公网安备 33010602011771号