【每日一题】20250110
【每日一题】
-
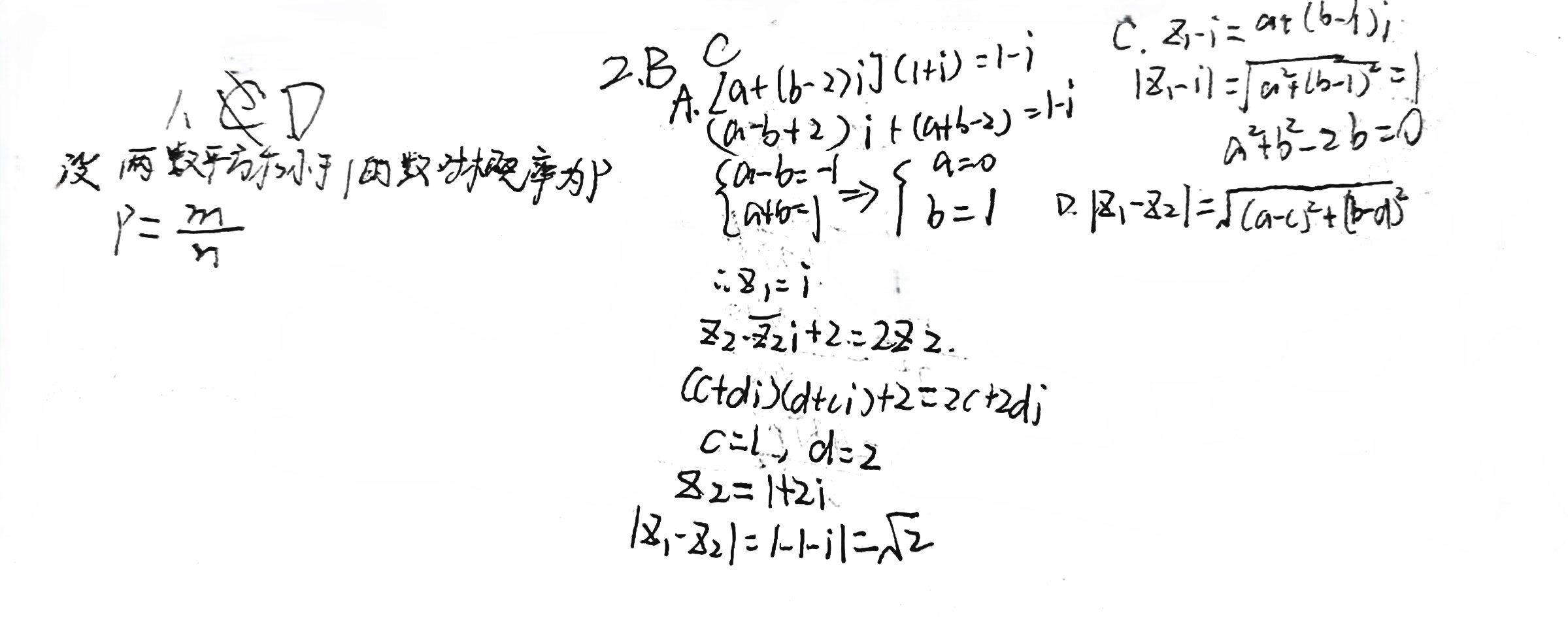
从区间 \([0,1]\) 随机抽取 \(2n\) 个数 \(x_1,x_2,\ldots,x_n,y_1,y_2,\ldots,y_n\),构成 \(n\) 个数对 \(( x_1, y_1)\), \(( x_2, y_2) , \ldots\), \(( x_n, y_n)\),其中两数的平方和小于 \(1\) 的数对共有 \(m\) 个,则用随机模拟的方法得到的圆周率 \(\pi\) 的近似值为
A. \(\displaystyle \frac{4m}{n}\)
B. \(\displaystyle \frac{4n}{m}\)
C. \(\displaystyle \frac{2m}{n}\)
D. \(\displaystyle \frac{2n}{m}\) -
(多选)设复数 \(z_1=a+b\,\mathrm{i} (a,b\in\mathbb{R})\),\(z_2=c+d\,\mathrm{i} (c,d\in\mathbb{R})\),则下列说法正确是
A. 若\((z_1-2 \mathrm{i})(1+\mathrm{i})=1-\mathrm{i}\),复数 \(z_2\) 满足 \(z_2\cdot\overline{z}_2\mathrm{i}+2=2z_2\),则 \(|z_1-z_2|=1\)
B. 若 \(z_1\neq0\),且 \(z_1^3=4\mathrm{i}\overline{z}_1\),复数 \(z_2\) 满足 \(z_2=\mathrm{i}z_1\),则 \(|z_1|=2\),且 \(z_2^3=4\mathrm{i}\overline{z}_2\)
C. 若 \(|z_1-\mathrm{i}|=1\),则 \(a^2+b^2+2b=0\)
D. 若 \(a^2+b^2-2b=0\),\(c+d+1=0\),则 \(|z_1-z_2|\) 的最小值为 \(\sqrt2-1\)
[题目来源:2016年全国 II 卷,原创(参照安徽卷、台湾地区大学入学考试和全国卷)]
【每日一言】
可人生就是要不断地做选择啊。总不能因为怕选择,就永远停留在原地吧。 -《明亮的告别》吴忠全

【学生撰写过程】

【答案】

未完待续~

可人生就是要不断地做选择啊。总不能因为怕选择,就永远停留在原地吧。
浙公网安备 33010602011771号