【每日一题】20241221
【每日一题】
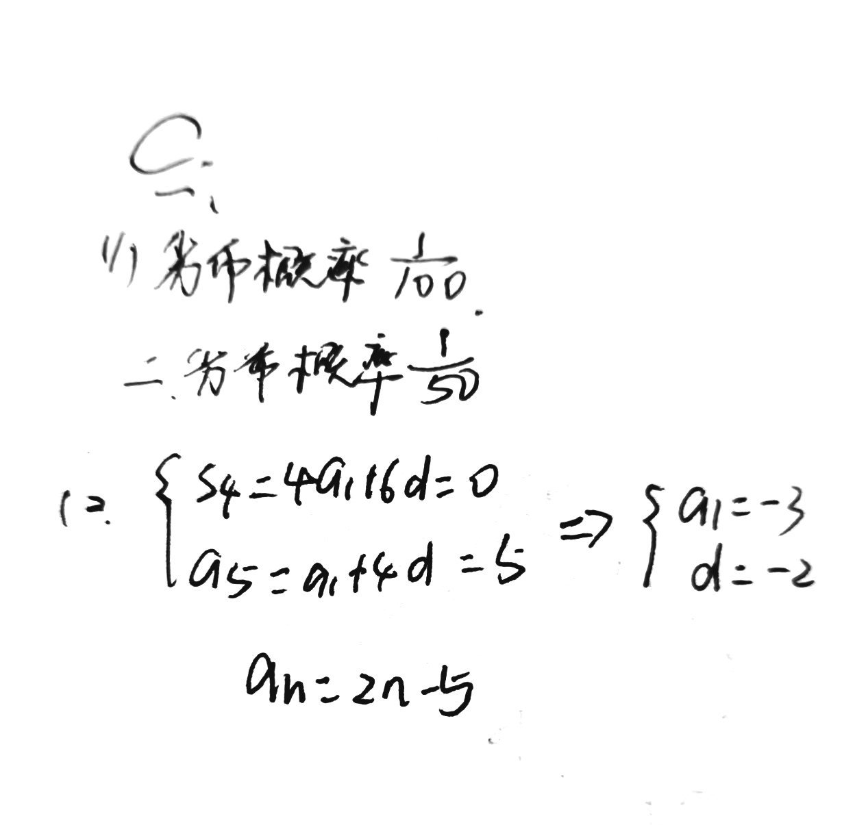
- 一位国王的铸币大臣在每箱 \(100\) 枚的硬币中各参入了一枚劣币,国王怀疑大臣作弊,他用两种方法来检测.方法一:在 \(10\) 箱中各任意抽查一枚;方法二:在 \(5\) 箱中各任意抽查两枚.国王用方法一、二能发现至少一枚劣币的概率分别记为 \(p_1\) 和 \(p_2\) ,则
A. \(p_1>p_2\)
B. \(p_1<p_2\)
C. \(p_1=p_2\)
D. \(p_1 \geqslant p_2\)
E. \(p_1 \leqslant p_2\)
F. 无法判断 \(p_1\) 与 \(p_2\) 的大小关系 - 记 \(S_n\) 为等差数列 \({a_n}\) 的前 \(n\) 项和.已知 \(S_4=0\),\(a_5=5\),则 \(S_n=\)______.
[题目来源:2010年江西卷,2019年全国 I 卷]
【每日一言】
冬天了。

【学生撰写过程】

【答案】

未完待续~
2024-12-21 11:23:35 星期六

冬天了。
浙公网安备 33010602011771号