【每日一题】20241210
【每日一题】
-
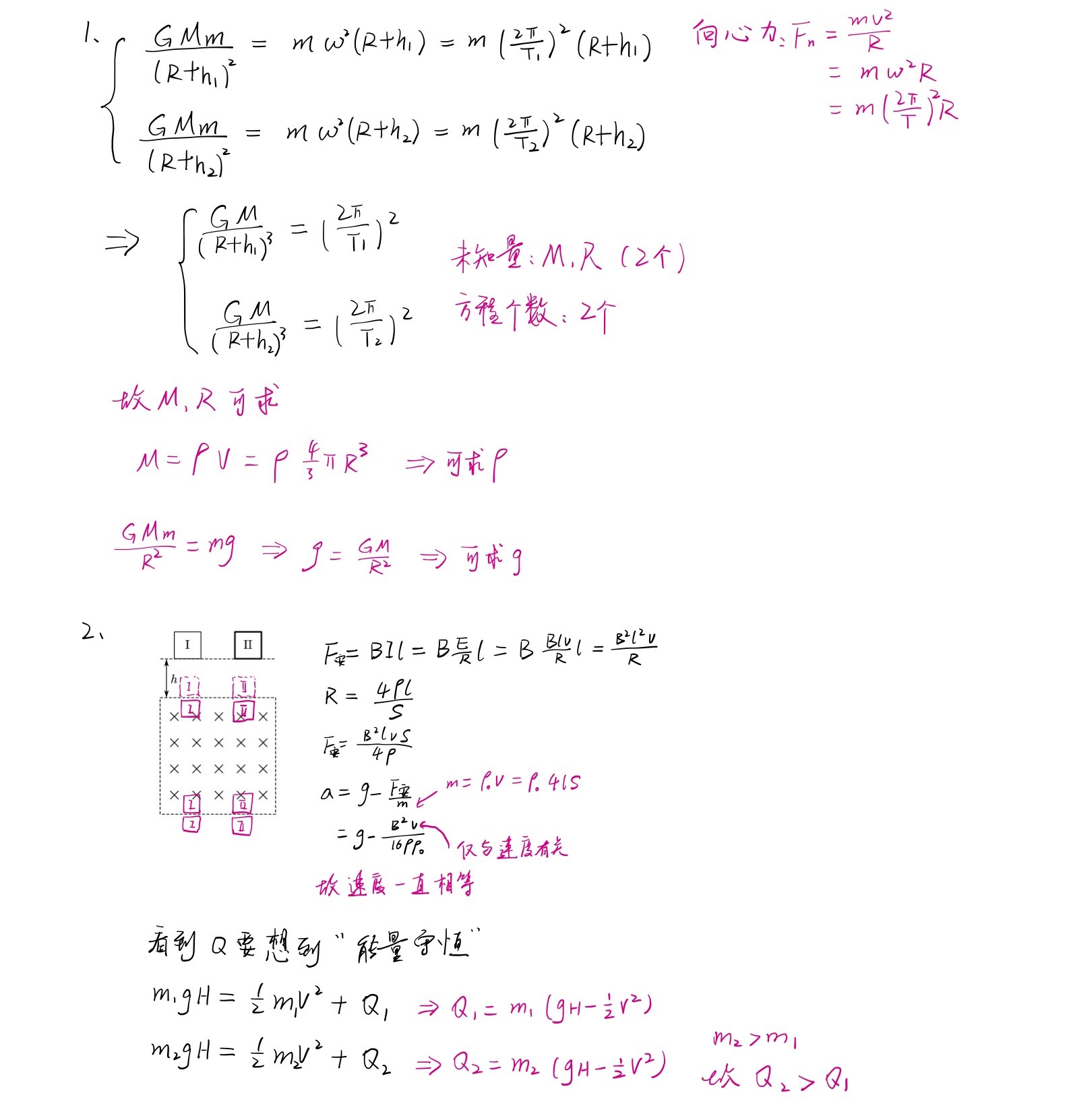
为了对火星及其周围的空间环境进行探测,我国于 \(2011\) 年 \(10\) 月发射了第一颗火星探测器“萤火一号”.假设探测器在离火星表面高度分别为 \(h_{1}\) 和 \(h_{2}\) 的圆轨道上运动时,周期分别为 \(T_{1}\) 和 \(T_2\).火星可视为质量分布均匀的球体,且忽略火星的自转影响,万有引力常量为 \(G\).仅利用以上数据,可以计算出
A. 火星的密度和火星表面的重力加速度
B. 火星的质量和火星对“萤火一号”的引力
C. 火星的半径和“萤火一号”的质量
D. 火星表面的重力加速度和火星对“萤火一号”的引力 -
如图所示,水平地面上方矩形区域内存在垂直纸面向里的匀强磁场,两个边长相等的单匝闭合正方形线圈 \(\mathrm{I}\) 和 \(\mathrm{II}\),分别用相同材料,不同粗细的导线绕制( \(\mathrm{I}\) 为细导线).两线圈在距磁场上界面 \(h\) 高处由静止开始自由下落,再进入磁场,最后落到地面.运动过程中,线圈平面始终保持在竖直平面内且下边缘平行于磁场上边界.设线圈 \(\mathrm{I}\)、\(\mathrm{II}\) 落地时的速度大小分别为 \(v_1\)、\(v_2\),在磁场中运动时产生的热量分别为 \(Q_1\)、\(Q_2\).不计空气阻力,则 \(v_1\) _____ \(v_2\)(填大小关系),\(Q_1\) _____ \(Q_2\)(填大小关系).
![image]()
[题目来源:2010年安徽卷]
【每日一言】
我就是不喜欢听到别人把所有人都称为自己的“朋友”。我似乎很珍视这个词。 -《友尽》艾琳.法尔科纳

【学生撰写过程】

【答案】

未完待续~

我就是不喜欢听到别人把所有人都称为自己的“朋友”。我似乎很珍视这个词。

浙公网安备 33010602011771号