【每日一题】20241205
【每日一题】
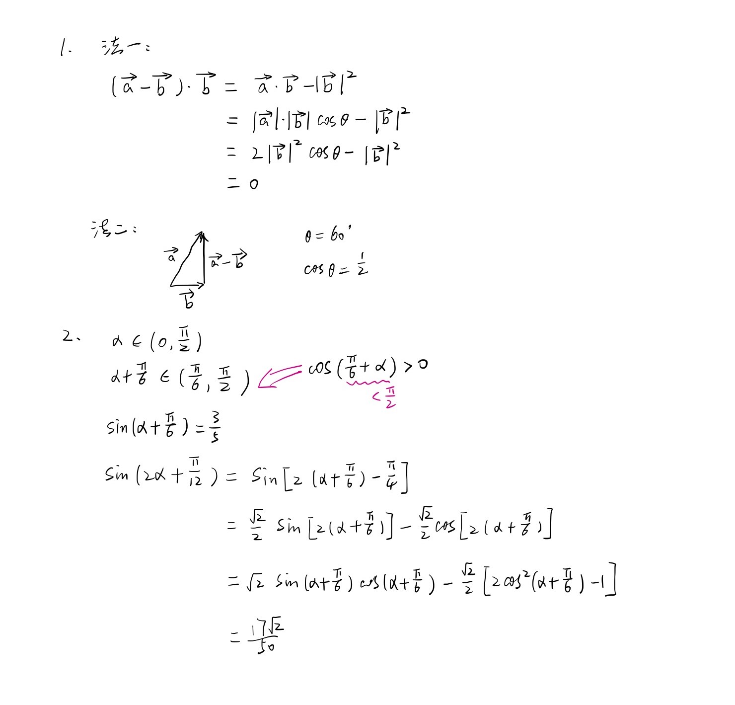
- 已知非零向量 \(\bm{a}\),\(\bm{b}\) 满足 \(|\bm{a}|=2|\bm{b}|\),且 \((\bm{a}-\bm{b})\perp \bm{b}\),则 \(\bm{a}\) 与 \(\bm{b}\) 夹角的余弦值为_________.
- 设 \(\alpha\) 为锐角,若 \(\displaystyle \cos\left(\alpha+\frac\pi6\right)=\frac45,则 \displaystyle \sin\left(2\alpha+\frac\pi{12}\right)\) 的值为_________.
[题目来源:2019年全国I卷,2012年江苏卷]
【每日一言】
我既植根在某处,又可以随心流动。 -《海浪》弗吉尼亚·伍尔夫

【学生撰写过程】

【答案】
- \(\frac 1 2\)
- \(\frac {17\sqrt 2}{50}\)
![image]()
未完待续~
2024-12-05 11:59:08 星期四

我既植根在某处,又可以随心流动。

浙公网安备 33010602011771号