会员
众包
新闻
博问
闪存
赞助商
HarmonyOS
Chat2DB
所有博客
当前博客
我的博客
我的园子
账号设置
会员中心
简洁模式
...
退出登录
注册
登录
iter
博客园
首页
新随笔
联系
订阅
管理
树状数组 和 线段树
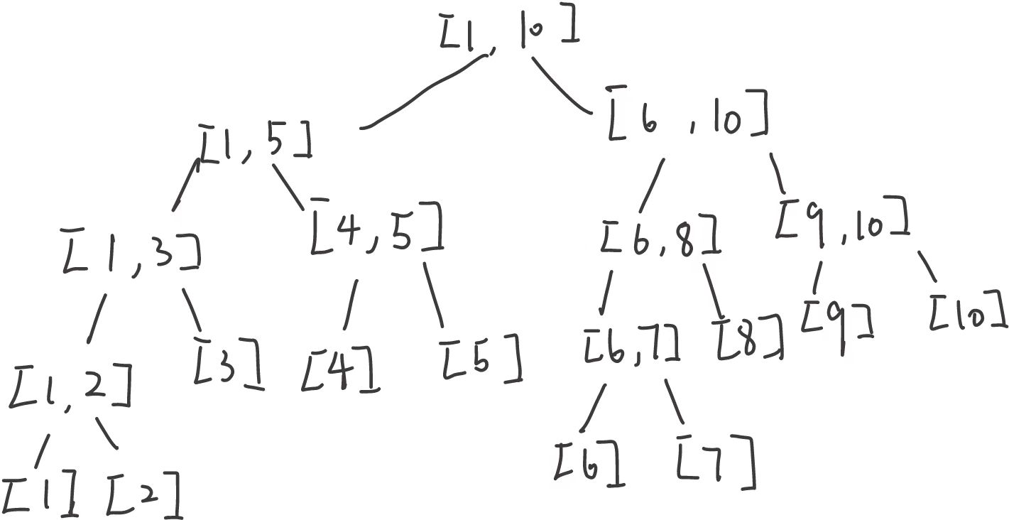
线段树
线段树的方法:分治法+二叉树+懒标记技术
2
posted @
2024-09-22 21:57
Iter-moon
阅读(
11
) 评论(
0
)
收藏
举报
刷新页面
返回顶部
公告