深度学习推荐系统 第三章
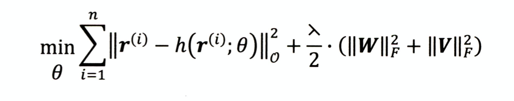
AutoRec
autoEncoder:

loss function:

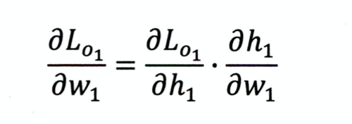
神经元:

线性函数过一个激活函数(Sigmoid、ReLU、tanh)
反向传播链式法则:

基于物品的AutoEncoder:I-AutoRec,基于用户的AutoEncoder:U-AutoRec
Deep Crossing

Embedding 层将稀疏的类别特征转为稠密的Embedding向量
Stacking层连接
Multiple Residual Units 利用ResNet将特征向量各个维度交叉组合
Scoring 用逻辑回归或softmax预测
NeuralCF

把原来的内积操作用多层神经网络来代替
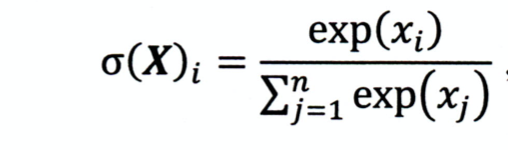
softmax

cross entropy

对交叉熵和softmax理解以及如何求导
https://zhuanlan.zhihu.com/p/27223959
https://zhuanlan.zhihu.com/p/45384116
PNN

内积操作:

外积操作:

Wide&Deep
wide:记忆能力
deep:泛化能力

Deep&Cross

把wide层改为cross

FM
FNN

使用FM参数初始化Embedding权重
DeepFM
用FM替换Wide部分

NFM
特征交叉的函数让neural network自动学出来
可以理解为Deep加入了特征交叉池化层


AFM
加入了attention

DIN

DIEN

兴趣进化网络:
行为序列层:把原始id类行为序列转为Embedding行为序列
兴趣抽取层:模拟用户兴趣迁移过程,抽取用户兴趣 GRU(重置门:先前的隐藏状态是否被忽略;更新门:当前隐藏状态单元是否被新的隐藏状态单元更新)
兴趣进化层;在兴趣抽取层加入attention (AUGRU:更新门要引入attention得分)
强化学习
行动-反馈-状态更新


模型主更新操作:利用历史数据重新训练
模型微调:竞争梯度下降算法:


浙公网安备 33010602011771号