SVM
SVM全过程
https://blog.csdn.net/u013019431/article/details/79952483

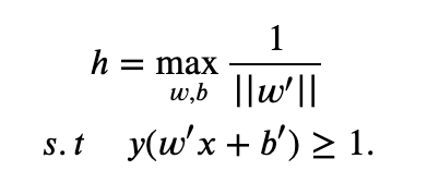
最大间隔为:2/||w|| 的理解
wx + b = 0 表示空间中某一超平面,你会发现 w, b 同时放大或缩小相同的倍数, 即 𝑎(𝑤𝑥+𝑏)=𝑤′𝑥+𝑏′=0(𝑎>0), 超平面是没有变化的, 同理

因此,不妨调整 a 使得 𝑦𝑎(𝑤𝑥+𝑏)=1, 于是:

用w记𝑤′
KKT条件理解
https://www.cnblogs.com/liaohuiqiang/p/7805954.html
最优解在边界上

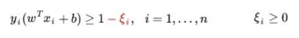
改进
松弛变量允许实际分类中一定的不准确性存在,引入松弛变量后原先的约束条件变为:

惩罚因子C则是为了避免系统轻易放弃一些重要的数据,减小系统损失。引入C后目标函数变为:

线性不可分
1)将数据空间映射到高维空间,使原本线性不可分变为线性可分。
2)引入核函数,简化映射空间中的内积运算。它避开了直接在高维空间中进行计算,而表现形式却等价于高维空间。

浙公网安备 33010602011771号