Unity Shader 绘制点直线网格等基本图形
利用 Plane 映射到屏幕上的像素坐标作为绘制图形的输入参数。
Shader003 代码:
Shader "Custom/Shader003" {
Properties {
// 在 Properties 中添加要绘制的点位置信息
_Point1("Point1",vector) = (100,100,0,0)
_Point2("Point2",vector) = (200,200,0,0)
// 在 Properties 中添加要绘制的直线上两点位置及直线宽度
_LP1("linePoint1",vector) = (300,100,0,0)
_LP2("linePoint2",vector) = (600,400,0,0)
_LineWidth("LineWidth", range(1,20)) = 2.0
}
SubShader {
Pass {
CGPROGRAM
#pragma vertex vert
#pragma fragment frag
#include "UnityCG.cginc"
struct appdata{
float4 vertex : POSITION;
};
struct v2f{
float4 vertex : SV_POSITION;
};
float4 _Point1;
float4 _Point2;
float4 _LP1;
float4 _LP2;
float _LineWidth;
v2f vert(appdata v){
v2f o;
o.vertex = UnityObjectToClipPos(v.vertex);
return o;
}
fixed4 frag(v2f i) : SV_Target {
// 绘制圆形, 此处半径使用了固定值 1000 和 500, 当然也可以写成可调的参数
if(pow((i.vertex.x - _Point1.x),2) + pow((i.vertex.y - _Point1.y),2) < 1000){
return fixed4(0,1,0,1);
}
if(pow((i.vertex.x - _Point2.x),2) + pow((i.vertex.y - _Point2.y),2) < 500) {
return fixed4(1,0,0,1);
}
// 绘制直线上两点
if(pow((i.vertex.x - _LP1.x),2) + pow((i.vertex.y - _LP1.y),2) < 100){
return fixed4(0,0,1,1);
}
if(pow((i.vertex.x - _LP2.x),2) + pow((i.vertex.y - _LP2.y),2) < 100){
return fixed4(0,0,1,1);
}
// 计算点到直线的距离
float d = abs((_LP2.y - _LP1.y) * i.vertex.x + (_LP1.x - _LP2.x) * i.vertex.y + _LP2.x * _LP1.y - _LP2.y * _LP1.x)
/ sqrt(pow(_LP2.y - _LP1.y , 2) + pow(_LP1.x - _LP2.x ,2));
// 小于或者等于线宽的一半时, 属于直线范围
if(d<=_LineWidth/2){
return fixed4(0.8,0.2,0.5,1);
}
// 绘制网格直线
if((unsigned int)i.vertex.x % (unsigned int)(0.25 * _ScreenParams.x) == 0){
return fixed4(0,0,1,1);
}
if((unsigned int) i.vertex.y % (unsigned int)(0.1 * _ScreenParams.x) == 0){
return fixed4(0,0,1,1);
}
// 默认返回白色
return fixed4(1,1,1,1);
}
ENDCG
}
}
}
根据两点绘制直线。问题转化为计算哪些点在直线的线宽范围内。首先利用直线的两点式方程,过 (x1,x2) 和 (y1,y2) 的直线上任意点 (x,y) 满足公式 : 即,
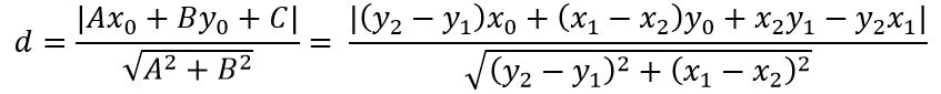
根据点到直线的距离公式,某一点 (x0,y0) 到上述直线的距离为
结果 :


End.

浙公网安备 33010602011771号