图论基础
图论基础
1.什么是“图”
这里我们说的图特指图论中的图,图是描述于一组对象的结构,由节点和边组成
比如,这就是一张(无向)图:

当然这其中还有很多分类
比如,有向图(同时它也是一个环):

2.“树”
树是一种特殊的图,这是树的严谨定义:
任意两个顶点间有且只有一条路径的图
常用名词的定义:
1. 在树中有一个特定的节点被称为根节点,通常在最顶端
2. 一个节点含有的子树的根节点称为该节点的子节点
3. 从根开始定义起,根为第1层,根的子节点为第2层,以此类推
4. 树的高度或深度为树中节点的最大层
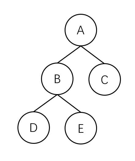
这就是一棵(高度为3的)树:

在一棵树中,若节点的个数为n,则边的个数为(n - 1)
特殊的,树中节点的度不大于2的有序树我们称其为二叉树
如:

3.“树”的遍历
在实际程序中,若我们要遍历一棵树我们有一下几种选择
(为方便表示,我们为每一个节点标上序号)

1. 前序遍历:首先访问根结点然后遍历左子树,最后遍历右子树
在遍历左、右子树时,仍然先访问根结点,然后遍历左子树,最后遍历右子树,如果二叉树为空则返回
以上我们习惯简称:根-左-右
这棵树的前序遍历为:A B D E C
2. 中序遍历:左-根-右(仅存在于二叉树)
这棵树的中序遍历为:D B E A C
3. 后序遍历:左-右-根
这棵树的后序遍历为:D E B C A
4.前/中/后缀表达式
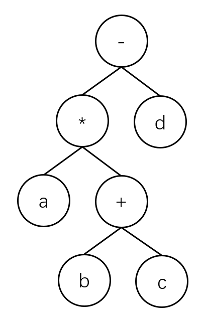
在我们表示一个算式时常使用其中缀表达式,如:
a * ( b + c ) - d
但这样,在计算机处理时则需要麻烦地用到递归得到结果
于是,前缀表达式、后缀表达式出现了
我们首先可以把上面的表达式按其运算顺序放入一棵树中:

所谓的前/后缀表达式其实就是简单地将这棵树进行前/后序遍历
我们可以得到前缀表达式:- * a + b c d
后缀表达式:a b c + * d -

图、树、二叉树、遍历、表达式
浙公网安备 33010602011771号