JZ8 二叉树的下一个结点
JZ8 二叉树的下一个结点
描述
给定一个二叉树其中的一个结点,请找出中序遍历顺序的下一个结点并且返回。注意,树中的结点不仅包含左右子结点,同时包含指向父结点的next指针。
输入描述:
输入分为2段,第一段是整体的二叉树,第二段是给定二叉树节点的值,后台会将这2个参数组装为一个二叉树局部的子树传入到函数GetNext里面,用户得到的输入只有一个子树根节点。
返回值描述:
返回传入的子树根节点的下一个节点,后台会打印输出这个节点。
示例1
输入:
{8,6,10,5,7,9,11},8
返回值:
9
示例2
输入:
{8,6,10,5,7,9,11},6
返回值:
7
示例3
输入:
{1,2,#,#,3,#,4},4
返回值:
1
示例4
输入:
{5},5
返回值:
"null"
// 不存在,后台打印"null"
解析
本题要求寻找输入的二叉树节点在中序遍历中的下一个节点,涉及到了中序遍历的顺序,很容易想到的一个方法是进行一次中序遍历,用数组按顺序保存所有的节点,遍历完后再在数组中寻找输入节点的下一个节点。
代码清单
import java.util.ArrayList;
/*
public class TreeLinkNode {
int val;
TreeLinkNode left = null;
TreeLinkNode right = null;
TreeLinkNode next = null;
TreeLinkNode(int val) {
this.val = val;
}
}
*/
public class Solution {
private ArrayList<TreeLinkNode> nodeList = new ArrayList<>();
public TreeLinkNode GetNext(TreeLinkNode pNode) {
// 传入的是树中的某一节点,需要先找到树的根节点
TreeLinkNode root = pNode;
while(root.next!=null)
root = root.next;
MidOrder(root);
for(int i = 0;i<nodeList.size();i++){
// 找到当前的节点了,返回下一个,但要判断当前是否为最后一个
if(nodeList.get(i) == pNode && i != nodeList.size()-1)
return nodeList.get(i+1);
}
return null;
}
public void MidOrder(TreeLinkNode node){
if(node == null)
return;
MidOrder(node.left);
nodeList.add(node);
MidOrder(node.right);
}
}
这种方式容易想到,实现也简单,空间复杂度为O(n),时间复杂度为O(n)。不过要是为了这种简单方式写一篇笔记属实小题大做了,所以还要研究更简单的方法!
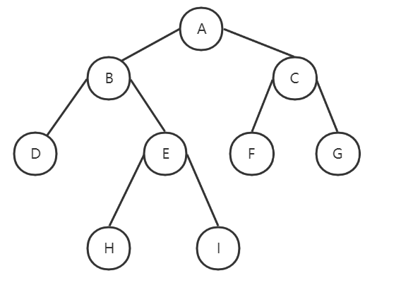
考虑中序遍历中下一个节点的问题,以这么一颗二叉树为例,有三种情况
- 当前节点有右孩子,则下一个节点是当前节点右子树中的最左节点。即若当前节点为 B,则下一个节点为 H。
- 当前节点无右孩子,且自身是父节点的左孩子,则下一个节点是当前节点的父节点。即若当前节点为 H,则下一个节点为 E。
- 当前节点无右孩子,且自身是父节点的右孩子,说明当前节点是子树中的最后一个节点,需要往上追溯到是某个节点左孩子的祖先节点,下一个节点就是该祖先节点的父节点,若找不到这样的祖先节点,则自身没有下一个节点。即若当前节点为 I,说明 B 子树已经遍历完毕,且祖先节点 B 是其父节点 A 的左孩子,则下一个节点是 A;若当前接地那为 G,说明 C 子树已经遍历完毕,且找不到一个祖先节点是其父节点的左孩子,说明没有下一个节点。
可以看出有两个步骤,第一步是判断自己是否有右孩子,这是由中序遍历左根右的顺序决定的,若有右孩子则需要在右孩子中寻找第一个节点;若没有则进入第二步,判断自己是左孩子还是右孩子,若是左孩子,则根据左根右的顺序,下一个是根,即父节点;若是右孩子,说明当前子树遍历完了(自身是右孩子且自身没有右孩子),需要找到当前遍历完的是左子树还是右子树,若是左子树,则下一个节点是该左子树的父节点,若是右子树,则全部遍历已经完成。
代码清单
/*
public class TreeLinkNode {
int val;
TreeLinkNode left = null;
TreeLinkNode right = null;
TreeLinkNode next = null;
TreeLinkNode(int val) {
this.val = val;
}
}
*/
public class Solution {
public TreeLinkNode GetNext(TreeLinkNode pNode) {
TreeLinkNode temp = null;
// 当前节点有右孩子,下一个节点是右孩子中的最左节点
if(pNode.right != null){
// 寻找右孩子的最左节点
temp = pNode.right;
while( temp.left != null)
temp = temp.left;
return temp;
}
// 过了上面说明当前节点无右孩子
// 自身是父节点的左孩子,则下一个节点是父节点
if(pNode.next != null && pNode == pNode.next.left)
return pNode.next;
// 自身是父节点的右孩子,需要寻找为左子树的祖先节点
if(pNode.next != null && pNode == pNode.next.right){
temp = pNode;
while(temp.next != null){
if(temp == temp.next.left)
return temp.next;
temp = temp.next;
}
}
return null;
}
}
这种方式的空间复杂度为O(1),时间复杂度为O(n),比之前的方式要好一点。
总结
也没什么好说的,第一种方式记录了全部顺序,比较暴力,第二种方式对中序遍历的情况进行了考量,单独进行三种情况的判断即可!当然从本题树的结构中有父节点的指针可以看出,比较合理的应该也是第二种方式。

浙公网安备 33010602011771号