对数求导法
对数求导法
求导可以使用对数求导法是怎么回事呢?求导相信大家都很熟悉,但是求导可以使用对数求导法是怎么回事呢,下面就让小编带大家一起了解吧。
求导可以使用对数求导法,其实就是运用对数对函数求导,大家可能会很惊讶求导怎么会可以使用对数求导法呢?但事实就是这样,小编也感到非常惊讶。
背景
先抛个问题:求幂指函数的导函数
更一般的,我们有函数f(x),g(x)。定义函数h(x)=f(x)g(x),求h'(x)。
前置知识
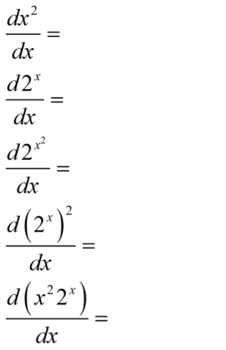
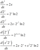
如果你掌握了上述知识,那就先做几道题热热身
如果你都做对了

对数求导法
最后一个问题可以这样解决
更一般的

这就是关于求导可以使用对数求导法的事情了,大家有什么想法呢,欢迎在评论区告诉小编一起讨论哦!


浙公网安备 33010602011771号