与单位圆内接三角形的心有关的平面几何常识
单位圆上给出 \((\cos\theta_1,\sin\theta_1),(\cos\theta_2,\sin\theta_2),...,(\cos\theta_n,\sin\theta_n)\) 这 \(n\) 个互不相同的点,任选三个构成三角形,求解问题。
【例1】九点圆圆心的期望
科普:九点圆是指三边中点的外接圆
性质:九点圆圆心等于垂心和重心的中点
所以相当于求重心的期望。
重心坐标公式:\(\frac {A+B+C}3\)
剩余略。
【例2】内接圆圆心的期望
性质:三角形三条角平分线与外接圆的交点的垂心
外接圆圆心为原点的三角形的垂心坐标公式:\(A+B+C\)
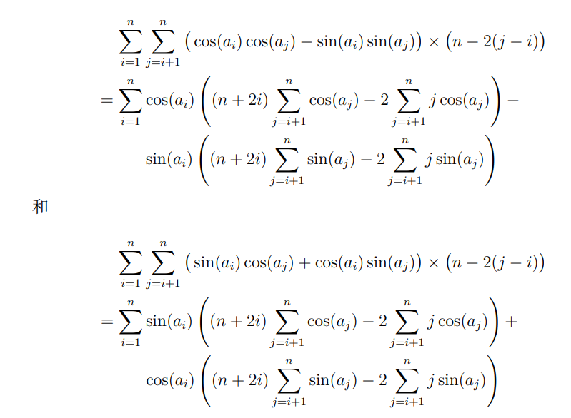
计数部分,平方做法为枚举三角形的两个顶点计算弧中点的贡献(注意有两个弧中点);线性做法为化简算式:


浙公网安备 33010602011771号