无损压缩和有损压缩算法归纳探讨:数学原理与Golang实现
本文由 愚人猫(Idiomeo) 编写
推荐阅读我的博客原文
一.介绍
数据压缩是现代计算机科学和通信技术中不可或缺的组成部分,它通过减少数据表示所需的存储空间和传输带宽,极大地提高了系统效率和资源利用率。压缩算法可分为两大类:无损压缩和有损压缩。
无损压缩算法能够在解压缩后完全恢复原始数据,适用于对数据完整性要求极高的场景;而有损压缩算法则通过牺牲部分次要信息来获得更高的压缩比,适用于对数据精度要求相对较低的场景,如多媒体数据处理。
本文将首先介绍压缩算法的基本概念和理论基础,然后分别详细讨论无损压缩算法和有损压缩算法,并提供 Golang 的函数实现示例,最后对这些算法进行比较和总结。
二.压缩算法基础理论
信息熵与压缩极限
根据香农信息论,数据压缩的理论极限由信息熵决定。对于一个离散随机变量 X,其概率分布为 P (x),则其信息熵 H (X) 定义为:

信息熵表示了数据中包含的平均信息量,也是无损压缩能够达到的理论下限。实际压缩算法的性能通常用压缩比来衡量,即原始数据大小与压缩后数据大小的比值。
无损压缩与有损压缩的区别
无损压缩算法确保解压缩后的数据与原始数据完全一致,适用于文本、程序代码、医疗图像等对数据完整性要求高的场景。有损压缩算法则允许在解压缩后的数据与原始数据之间存在一定差异,通过牺牲部分信息来换取更高的压缩比,适用于音频、视频、普通图像等场景。
压缩算法的主要分类
根据压缩原理,常见的压缩算法可分为以下几类:
- 基于统计的编码:如霍夫曼编码、算术编码
- 基于字典的编码:如 LZ77、LZ78、LZW
- 基于变换的编码:如离散余弦变换 (DCT)、离散小波变换 (DWT)
- 混合编码:结合多种压缩技术,如 DEFLATE、JPEG、MP3
三.无损压缩算法详解
1. 霍夫曼编码 (Huffman Coding)
数学原理
霍夫曼编码是一种基于贪心算法的最优前缀编码方法,由 David Huffman 于 1952 年发明。其核心思想是让出现频率高的字符使用较短的编码,出现频率低的字符使用较长的编码,从而使整体编码长度最短。
根据香农信息论,最优编码长度应满足:

其中 P (c) 是字符 c 出现的概率。霍夫曼编码通过贪心算法逼近这一理论极限。
霍夫曼编码的具体步骤如下:
- 统计字符频率:统计输入数据中每个字符的出现频率
- 构建优先队列:将每个字符作为独立节点,按频率优先级构建优先队列
- 合并节点:循环合并频率最小的两个节点,创建新的父节点,直到只剩一个根节点
- 生成编码:从根节点到每个叶子节点的路径决定了字符的编码,左路径为 0,右路径为 1
霍夫曼编码的数学证明表明,这种自底向上构建树的方法能够保证得到最优编码,不同于香农 - 范诺编码在某些情况下可能无法得到最优解的情况。
霍夫曼编码的期望码长 L 满足:

其中 H (X) 是信息熵。
Golang 实现
package main
import (
"container/heap"
"fmt"
)
type Node struct {
char rune
freq int
left *Node
right *Node
}
// 实现heap.Interface接口
type PriorityQueue []*Node
func (pq PriorityQueue) Len() int { return len(pq) }
func (pq PriorityQueue) Less(i, j int) bool { return pq[i].freq < pq[j].freq }
func (pq PriorityQueue) Swap(i, j int) { pq[i], pq[j] = pq[j], pq[i] }
func (pq *PriorityQueue) Push(x interface{}) {
node := x.(*Node)
*pq = append(*pq, node)
}
func (pq *PriorityQueue) Pop() interface{} {
old := *pq
n := len(old)
node := old[n-1]
*pq = old[0 : n-1]
return node
}
func buildHuffmanTree(text string) *Node {
// 统计字符频率
freq := make(map[rune]int)
for _, c := range text {
freq[c]++
}
// 初始化优先队列
var pq PriorityQueue
for c, f := range freq {
pq = append(pq, &Node{char: c, freq: f})
}
heap.Init(&pq)
// 合并节点直到只剩一个根节点
for pq.Len() > 1 {
left := heap.Pop(&pq).(*Node)
right := heap.Pop(&pq).(*Node)
merged := &Node{
freq: left.freq + right.freq,
left: left,
right: right,
}
heap.Push(&pq, merged)
}
return pq[0]
}
func generateCodes(root *Node) map[rune]string {
codes := make(map[rune]string)
var generate func(node *Node, currentCode string)
generate = func(node *Node, currentCode string) {
if node == nil {
return
}
if node.char != 0 {
codes[node.char] = currentCode
return
}
generate(node.left, currentCode+"0")
generate(node.right, currentCode+"1")
}
generate(root, "")
return codes
}
func huffmanEncode(text string, codes map[rune]string) string {
encoded := ""
for _, c := range text {
encoded += codes[c]
}
return encoded
}
func huffmanDecode(encoded string, root *Node) string {
decoded := []rune{}
current := root
for _, bit := range encoded {
if bit == '0' {
current = current.left
} else {
current = current.right
}
if current.char != 0 {
decoded = append(decoded, current.char)
current = root
}
}
return string(decoded)
}
func main() {
text := "ABACDA"
root := buildHuffmanTree(text)
codes := generateCodes(root)
encoded := huffmanEncode(text, codes)
decoded := huffmanDecode(encoded, root)
fmt.Printf("Original: %s\n", text)
fmt.Printf("Encoded: %s\n", encoded)
fmt.Printf("Decoded: %s\n", decoded)
}
2. 算术编码 (Arithmetic Coding)
数学原理
算术编码是另一种熵编码方法,与霍夫曼编码不同,它将整个消息编码为一个介于 0 和 1 之间的实数,而不是将每个字符独立编码为不同的码字。
算术编码的基本原理是:
- 初始化区间:从初始区间 [0, 1) 开始
- 符号处理:逐个处理输入符号,根据符号的概率分布不断缩小当前区间
- 区间划分:每个符号对应一个子区间,其长度与符号的概率成正比
- 输出结果:最终的区间内的任意一个点都可以表示整个消息
具体来说,假设当前编码区间为 [low, high),对于输入符号 s,其概率区间为 [Ps_low, Ps_high),则新的区间更新为:

算术编码的数学本质是通过连续分割区间来表示整个输入消息,其压缩效率理论上可以更接近香农熵极限。
算术编码的优势在于:
- 对于出现概率非常低的符号,无需分配较长的码字
- 可以处理任意长度的符号序列,而不需要像霍夫曼编码那样将数据分割成固定大小的块
- 更接近理论最优压缩性能
Golang 实现
package main
import (
"fmt"
)
type Range struct {
low float64
high float64
}
func arithmeticEncode(symbols []rune, symbolRanges map[rune][2]float64) string {
rangeMap := make(map[rune][2]float64)
for c, r := range symbolRanges {
rangeMap[c] = r
}
currentRange := Range{0, 1}
for _, s := range symbols {
symRange := rangeMap[s]
delta := currentRange.high - currentRange.low
currentRange.low = currentRange.low + delta*symRange[0]
currentRange.high = currentRange.low + delta*symRange[1]
}
// 选择区间中的一个点进行二进制表示
mid := (currentRange.low + currentRange.high) / 2
return floatToBinary(mid)
}
func floatToBinary(x float64) string {
binary := "0."
for i := 0; i < 32; i++ {
x *= 2
if x >= 1 {
binary += "1"
x -= 1
} else {
binary += "0"
}
if x == 0 {
break
}
}
return binary
}
func main() {
symbols := []rune{'A', 'B', 'E', 'R', 'R'}
symbolRanges := map[rune][2]float64{
'A': {0.0, 0.2},
'B': {0.2, 0.4},
'E': {0.4, 0.6},
'R': {0.6, 1.0},
}
encoded := arithmeticEncode(symbols, symbolRanges)
fmt.Println("Encoded:", encoded)
}
3. LZ77 算法
数学原理
LZ77 是一种基于字典的无损压缩算法,由 Abraham Lempel 和 Jacob Ziv 于 1977 年提出。它的核心思想是利用数据的重复结构信息来进行数据压缩,通过查找滑动窗口内的最长匹配子串,并将其替换为指向窗口内位置的指针和匹配长度。
LZ77 算法的基本原理可以用以下数学模型描述:
假设当前处理位置为 i,滑动窗口大小为 W,预读缓冲区大小为 L。算法在滑动窗口内寻找与预读缓冲区中最长的匹配子串。如果匹配长度大于最小匹配长度,则输出三元组 <长度,距离,下一个字符>;否则输出 < 0, 0, 当前字符 >。
具体步骤如下:
- 滑动窗口维护:维护一个固定大小的滑动窗口,包含之前处理过的字符
- 预读缓冲区:包含当前处理位置之后的字符
- 最长匹配查找:在滑动窗口中查找与预读缓冲区中最长的匹配子串
- 输出编码:根据匹配结果输出相应的编码
LZ77 的数学模型可以表示为:

其中 C 表示压缩后的数据,D 表示重复子字符串的长度,S 表示非重复子字符串的长度。
值得注意的是,LZ77 严格意义上来说不是一种具体的算法,而是一种编码理论,定义了原理但未规定具体实现方式。基于这一理论实现的算法才称为 LZ77 算法或 LZ77 变种。
Golang 实现
package main
import (
"fmt"
"math"
)
type LZ77Output struct {
length int
distance int
nextChar byte
}
func lz77Compress(data []byte, windowSize int) []LZ77Output {
var output []LZ77Output
remaining := len(data)
i := 0
for i < remaining {
// 确定当前窗口的范围
start := int(math.Max(float64(0), float64(i - windowSize)))
end := i
// 查找最长匹配
bestLength := 0
bestDistance := 0
for j := start; j < end; j++ {
currentLength := 0
for currentLength < remaining - i &&
currentLength < end - j &&
data[i + currentLength] == data[j + currentLength] {
currentLength++
}
if currentLength > bestLength {
bestLength = currentLength
bestDistance = i - j
}
}
if bestLength > 0 {
// 确保不超过窗口范围
bestDistance = int(math.Min(float64(bestDistance), float64(windowSize)))
// 处理下一个字符
if i + bestLength < remaining {
output = append(output, LZ77Output{bestLength, bestDistance, data[i + bestLength]})
i += bestLength + 1
} else {
output = append(output, LZ77Output{bestLength, bestDistance, 0})
i += bestLength
}
} else {
output = append(output, LZ77Output{0, 0, data[i]})
i++
}
}
return output
}
func main() {
data := []byte("ABABABABABCABABABC")
windowSize := 10
compressed := lz77Compress(data, windowSize)
for _, out := range compressed {
fmt.Printf("<%d, %d, %c>\n", out.length, out.distance, out.nextChar)
}
}
4. LZW 算法
数学原理
LZW (Lempel-Ziv-Welch) 算法是 LZ78 算法的改进版本,由 Terry Welch 于 1984 年提出。它的核心思想是动态构建字典,将输入数据中的字符序列转换为字典中的索引值。
LZW 算法与 LZ78 的主要区别在于初始化字典的方式:LZW 在编码前预先初始化字典,包含所有可能的单字符输入,而 LZ78 则根据输入逐步构建字典。
LZW 算法的数学原理可以通过以下步骤描述:
- 字典初始化:初始化字典,包含所有单字符输入
- 当前字符串维护:维护一个当前字符串,初始为空
- 字符处理:逐个处理输入字符:
- 如果当前字符串加上当前字符在字典中,则更新当前字符串
- 否则,输出当前字符串对应的字典索引,将当前字符串加上当前字符添加到字典中,重置当前字符串为当前字符
- 结束处理:处理结束后,输出当前字符串对应的字典索引
LZW 算法的压缩效率取决于字典的更新策略和字符串匹配的长度,其数学模型可以表示为:

其中 C 表示压缩后的数据长度,M_i 表示第 i 个字典条目的大小。
Golang 实现
package main
import (
"fmt"
)
func lzwCompress(data []byte) []int {
// 初始化字典,包含所有256个可能的单字节字符
dict := make(map[string]int)
for i := 0; i < 256; i++ {
dict[string([]byte{byte(i)})] = i
}
var result []int
currentString := ""
for _, c := range data {
char := string(c)
combined := currentString + char
if idx, exists := dict[combined]; exists {
currentString = combined
} else {
result = append(result, dict[currentString])
dict[combined] = len(dict)
currentString = char
}
}
if currentString != "" {
result = append(result, dict[currentString])
}
return result
}
func main() {
data := []byte("TOBEORNOTTOBEORTOBEORNOT")
compressed := lzwCompress(data)
fmt.Println("Compressed data:", compressed)
}
5. DEFLATE 算法
数学原理
DEFLATE 算法是一种混合压缩算法,结合了 LZ77 和霍夫曼编码,是 gzip 和 zlib 的核心算法。它首先使用 LZ77 算法进行数据压缩,生成一系列的匹配长度和距离,然后对这些输出进行霍夫曼编码,进一步提高压缩效率。
DEFLATE 算法的数学原理可以分解为两个主要步骤:
- LZ77 压缩:将输入数据转换为一系列的 LZ77 编码块
- 霍夫曼编码:对 LZ77 的输出进行霍夫曼编码,生成最终的压缩数据
DEFLATE 算法的压缩效率取决于两个阶段的协同工作:LZ77 能够有效地捕获数据中的重复模式,而霍夫曼编码则能够根据这些模式的出现频率生成高效的二进制表示。
Golang 实现
由于 DEFLATE 算法较为复杂,这里仅提供一个简化的概念性实现:
package main
import (
"fmt"
)
func deflateCompress(data []byte, windowSize int) []int {
// 第一步:LZ77压缩
lz77Output := lz77Compress(data, windowSize)
// 第二步:霍夫曼编码
// 为简化起见,这里将LZ77输出转换为字符串形式
// 实际实现需要更复杂的处理
var symbols []rune
for _, out := range lz77Output {
symbols = append(symbols, rune(out.length))
symbols = append(symbols, rune(out.distance))
symbols = append(symbols, rune(out.nextChar))
}
// 构建霍夫曼树
root := buildHuffmanTree(string(symbols))
codes := generateCodes(root)
// 编码符号
var encoded []int
for _, c := range symbols {
code := codes[c]
// 这里可以将二进制字符串转换为整数列表表示
// 为简化起见,直接存储二进制字符串的长度
encoded = append(encoded, len(code))
}
return encoded
}
func main() {
data := []byte("ABABABABABCABABABC")
windowSize := 10
compressed := deflateCompress(data, windowSize)
fmt.Println("Compressed:", compressed)
}
四.有损压缩算法详解
1. 离散余弦变换 (DCT)
数学原理
离散余弦变换 (Discrete Cosine Transform, DCT) 是一种广泛应用于有损压缩算法中的数学变换,特别在 JPEG 图像压缩和 MP3 音频压缩中发挥着核心作用。DCT 将时域或空域信号转换为频域表示,使得大部分能量集中在少数低频系数中,从而实现高效的压缩。
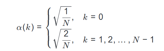
一维 DCT 的数学公式为:

其中:
- X_k是第 k 个 DCT 系数
- x_n是输入信号的第 n 个样本
- N是输入信号的长度
![image]()
是归一化因子,定义为:

二维 DCT 的数学公式为:

其中:
- f(x,y)是输入图像的像素值
- u和v是频域坐标
![image]()
是归一化因子
DCT 的逆变换 (IDCT) 公式为:

DCT 的数学本质是将信号分解为不同频率的余弦波分量,这些分量的振幅表示了对应频率成分在原始信号中的贡献程度。通过保留主要的低频分量并丢弃次要的高频分量,可以在几乎不影响感知质量的情况下实现数据压缩。
Golang 实现
package main
import (
"fmt"
"math"
)
func dct(input []float64) []float64 {
N := len(input)
output := make([]float64, N)
alpha := make([]float64, N)
for k := 0; k < N; k++ {
if k == 0 {
alpha[k] = math.Sqrt(1.0 / float64(N))
} else {
alpha[k] = math.Sqrt(2.0 / float64(N))
}
}
for k := 0; k < N; k++ {
sum := 0.0
for n := 0; n < N; n++ {
angle := math.Pi * float64(n + 0.5) * float64(k) / float64(N)
sum += input[n] * math.Cos(angle)
}
output[k] = alpha[k] * sum
}
return output
}
func main() {
input := []float64{1, 2, 3, 4}
output := dct(input)
fmt.Println("DCT coefficients:", output)
}
2. JPEG 图像压缩算法
数学原理
JPEG (Joint Photographic Experts Group) 是一种广泛应用的有损图像压缩标准,它利用人类视觉系统的特性,通过丢弃部分高频信息来实现高压缩比。JPEG 的核心算法基于离散余弦变换 (DCT) 和量化技术。
JPEG 压缩的数学原理可以通过以下步骤描述:
-
颜色空间转换:将图像从 RGB 颜色空间转换为 YCbCr 颜色空间,分离亮度和色度信息:
![image]()
-
分块处理:将图像分割为 8x8 像素的块,便于 DCT 处理
-
DCT 变换:对每个 8x8 块应用二维 DCT,将像素值转换为频域系数
-
量化:使用量化矩阵对 DCT 系数进行量化,减少精度:
![image]()
其中 quant_matrix 是预定义的量化矩阵,通常对亮度和色度使用不同的矩阵
-
Zig-Zag 扫描:将二维系数矩阵转换为一维序列,按频率排序,使得低频系数在前,高频系数在后
-
熵编码:对量化后的系数进行熵编码,通常使用霍夫曼编码
JPEG 压缩的数学模型可以表示为:

其中 C 表示压缩后的数据,I 表示原始图像,Q 表示量化操作,DCT 表示离散余弦变换。
JPEG 的逆过程,即解压缩,通过逆量化、逆 DCT 和颜色空间转换实现:

其中 I' 是解压缩后的图像,

表示逆量化操作,
IDCT 表示逆离散余弦变换。
Golang 实现
由于 JPEG 算法较为复杂,这里仅提供核心步骤的简化实现:
package main
import (
"fmt"
"math"
)
func jpegCompress(image [][]float64, quantMatrix [][]float64) [][]int {
// 分块处理(假设图像是8x8的)
// 应用二维DCT
dctResult := dct2D(image)
// 量化
quantized := quantize(dctResult, quantMatrix)
// Zig-Zag扫描
zigzag := zigzagScan(quantized)
// 这里可以继续进行熵编码处理
// 为简化起见,直接返回量化后的系数
return quantized
}
func dct2D(image [][]float64) [][]float64 {
N := len(image)
M := len(image[0])
output := make([][]float64, N)
for i := range output {
output[i] = make([]float64, M)
}
// 对每一行进行一维DCT
for i := 0; i < N; i++ {
output[i] = dct(image[i])
}
// 对每一列进行一维DCT
for j := 0; j < M; j++ {
var column []float64
for i := 0; i < N; i++ {
column = append(column, output[i][j])
}
columnDCT := dct(column)
for i := 0; i < N; i++ {
output[i][j] = columnDCT[i]
}
}
return output
}
func quantize(dctCoeff [][]float64, quantMatrix [][]float64) [][]int {
N := len(dctCoeff)
M := len(dctCoeff[0])
quantized := make([][]int, N)
for i := range quantized {
quantized[i] = make([]int, M)
}
for i := 0; i < N; i++ {
for j := 0; j < M; j++ {
quantized[i][j] = int(math.Round(dctCoeff[i][j] / float64(quantMatrix[i][j])))
}
}
return quantized
}
func zigzagScan(matrix [][]int) []int {
order := [][2]int{
{0,0}, {0,1}, {1,0}, {2,0}, {1,1}, {0,2}, {0,3}, {1,2},
{2,1}, {3,0}, {4,0}, {3,1}, {2,2}, {1,3}, {0,4}, {0,5},
{1,4}, {2,3}, {3,2}, {4,1}, {5,0}, {6,0}, {5,1}, {4,2},
{3,3}, {2,4}, {1,5}, {0,6}, {0,7}, {1,6}, {2,5}, {3,4},
{4,3}, {5,2}, {6,1}, {7,0}, {7,1}, {6,2}, {5,3}, {4,4},
{3,5}, {2,6}, {1,7}, {2,7}, {3,6}, {4,5}, {5,4}, {6,3},
{7,2}, {7,3}, {6,4}, {5,5}, {4,6}, {3,7}, {4,7}, {5,6},
{6,5}, {7,4}, {7,5}, {6,6}, {5,7}, {6,7}, {7,6}, {7,7},
}
result := make([]int, 64)
for i := 0; i < 64; i++ {
x, y := order[i][0], order[i][1]
result[i] = matrix[x][y]
}
return result
}
func main() {
// 假设输入是一个8x8的灰度图像块
image := [][]float64{
{10, 10, 10, 10, 10, 10, 10, 10},
{10, 10, 10, 10, 10, 10, 10, 10},
{10, 10, 10, 10, 10, 10, 10, 10},
{10, 10, 10, 10, 10, 10, 10, 10},
{10, 10, 10, 10, 10, 10, 10, 10},
{10, 10, 10, 10, 10, 10, 10, 10},
{10, 10, 10, 10, 10, 10, 10, 10},
{10, 10, 10, 10, 10, 10, 10, 10},
}
// 标准亮度量化矩阵
quantMatrix := [][]float64{
{16, 11, 10, 16, 24, 40, 51, 61},
{12, 12, 14, 19, 26, 58, 60, 55},
{14, 13, 16, 24, 40, 57, 69, 56},
{14, 17, 22, 29, 51, 87, 80, 62},
{18, 22, 37, 56, 68, 109, 103, 77},
{24, 35, 55, 64, 81, 104, 113, 92},
{49, 64, 78, 87, 103, 121, 120, 101},
{72, 92, 95, 98, 112, 100, 103, 99},
}
compressed := jpegCompress(image, quantMatrix)
fmt.Println("Compressed coefficients:")
for _, row := range compressed {
fmt.Println(row)
}
}
3. MP3 音频压缩算法
数学原理
MP3 (MPEG-1 Audio Layer 3) 是一种广泛应用的有损音频压缩标准,它利用人类听觉系统的感知特性,通过丢弃不可感知的音频信息来实现高压缩比。
MP3 的数学原理可以通过以下步骤描述:
- 感知音频编码:基于心理声学模型,分析音频信号的掩蔽效应,确定哪些频率成分可以安全地丢弃
- 混合滤波器组:将音频信号分解为多个子带,通常为 32 个子带,每个子带覆盖不同的频率范围
- 修正的离散余弦变换 (MDCT):对每个子带应用 MDCT,将时域信号转换为频域表示
- 量化和编码:根据心理声学模型确定的掩蔽阈值,对 MDCT 系数进行量化和编码
MP3 编码的核心数学变换是修正的离散余弦变换 (MDCT),其数学公式为:

其中 N 是变换块的大小,通常为 1024 或 512。
MP3 的逆过程,即解码,通过逆 MDCT 和滤波器组重建时域音频信号。
Golang 实现
由于 MP3 算法较为复杂,这里仅提供 MDCT 部分的简化实现:
package main
import (
"fmt"
"math"
)
func mdct(input []float64) []float64 {
N := len(input)
output := make([]float64, N/2)
for k := 0; k < N/2; k++ {
sum := 0.0
for n := 0; n < N; n++ {
angle := math.Pi * float64(n + N/4 + 0.5) * float64(k + 0.5) / float64(N)
sum += input[n] * math.Cos(angle)
}
output[k] = math.Sqrt(2.0/float64(N)) * sum
}
return output
}
func main() {
// 假设输入是一个长度为1024的音频样本块
input := make([]float64, 1024)
for i := range input {
input[i] = math.Sin(2 * math.Pi * float64(i) * 440.0 / 44100.0)
}
mdctResult := mdct(input)
fmt.Println("MDCT coefficients length:", len(mdctResult))
}
五.现代压缩算法进展
基于深度学习的压缩算法
近年来,基于深度学习的压缩算法取得了显著进展,特别是在图像和视频压缩领域。这些算法通常基于自编码器架构,通过神经网络学习数据的高效表示。
2025 年的研究表明,基于 Transformer 的对称 Transformer 模型 (STF) 在无损图像压缩方面取得了显著成果,其压缩效率超过了传统方法如 IVPF、Gollic 和 MSPSM。该模型结合了以下创新点:
- 对称 Transformer 架构:在编码器和解码器中都使用 Transformer 块,增强对局部和全局特征的捕获能力
- 多变量混合分布通道条件 (MMCC) 熵模型:通过建模图像通道间的复杂关系提高像素依赖预测的准确性
- 自动搜索最优核形状 (SOKS):动态配置卷积层的核大小,优化不同图像区域的处理
- 条带剪枝 (SWP):在压缩过程中有选择地剪枝不重要的特征,降低计算复杂度和内存使用
这些技术的组合在标准数据集上实现了显著的压缩效率提升,例如在 Kodak 数据集上达到 3.06 bpd (每维度比特数),相比传统方法有明显优势。
语义压缩新范式
2025 年提出的 "理解即压缩" 理论开创了压缩技术的新范式。该理论认为,一个能够 "理解" 各种文件、照片、音频、视频的大模型,必然蕴含强大的压缩能力。这一理论通过实验得到了验证:
- 大模型预测:大模型预测下一个 token 的概率分布
- 算术编码:基于这些概率分布,使用算术编码进行无损压缩和解压
这种方法被称为 LMCompress,它对大模型几乎没有限制,只要是自回归生成式大模型,都可以 "即插即用"。实验结果表明,LMCompress 在四种媒体类型 (文本、图像、视频和音频) 上都表现出了压倒性的优势,比最优传统无损压缩的效率提升 2 倍以上。
六.总结
这次我们浅层了解了多种经典的无损和有损压缩算法的数学原理,并提供了 Golang 语言的函数实现示例。
通过理解这些压缩算法的数学原理和实现方式,我们可以更好地选择和应用适合特定场景的压缩技术,优化数据存储和传输效率。同时,本文提供的 Golang 实现代码可以作为进一步学习和开发的基础,帮助读者构建自己的压缩应用。
——By 愚人猫(Idiomeo)
2025.8.27




浙公网安备 33010602011771号