160.相交链表
给你两个单链表的头节点 headA 和 headB ,请你找出并返回两个单链表相交的起始节点。如果两个链表不存在相交节点,返回 null 。
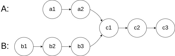
图示两个链表在节点 c1 开始相交:

题目数据 保证 整个链式结构中不存在环。
注意,函数返回结果后,链表必须 保持其原始结构 。
自定义评测:
评测系统 的输入如下(你设计的程序 不适用 此输入):
intersectVal- 相交的起始节点的值。如果不存在相交节点,这一值为0listA- 第一个链表listB- 第二个链表skipA- 在listA中(从头节点开始)跳到交叉节点的节点数skipB- 在listB中(从头节点开始)跳到交叉节点的节点数
评测系统将根据这些输入创建链式数据结构,并将两个头节点 headA 和 headB 传递给你的程序。如果程序能够正确返回相交节点,那么你的解决方案将被 视作正确答案 。
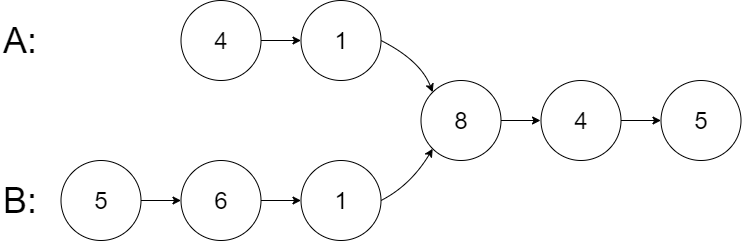
示例 1:

输入:intersectVal = 8, listA = [4,1,8,4,5], listB = [5,6,1,8,4,5], skipA = 2, skipB = 3
输出:Intersected at '8'
解释:相交节点的值为 8 (注意,如果两个链表相交则不能为 0)。
从各自的表头开始算起,链表 A 为 [4,1,8,4,5],链表 B 为 [5,6,1,8,4,5]。
在 A 中,相交节点前有 2 个节点;在 B 中,相交节点前有 3 个节点。
— 请注意相交节点的值不为 1,因为在链表 A 和链表 B 之中值为 1 的节点 (A 中第二个节点和 B 中第三个节点) 是不同的节点。换句话说,它们在内存中指向两个不同的位置,而链表 A 和链表 B 中值为 8 的节点 (A 中第三个节点,B 中第四个节点) 在内存中指向相同的位置。
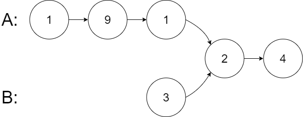
示例 2:

输入:intersectVal = 2, listA = [1,9,1,2,4], listB = [3,2,4], skipA = 3, skipB = 1 输出:Intersected at '2' 解释:相交节点的值为 2 (注意,如果两个链表相交则不能为 0)。 从各自的表头开始算起,链表 A 为 [1,9,1,2,4],链表 B 为 [3,2,4]。 在 A 中,相交节点前有 3 个节点;在 B 中,相交节点前有 1 个节点。
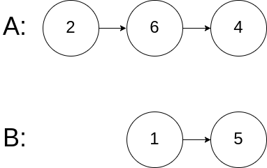
示例 3:

输入:intersectVal = 0, listA = [2,6,4], listB = [1,5], skipA = 3, skipB = 2 输出:null 解释:从各自的表头开始算起,链表 A 为 [2,6,4],链表 B 为 [1,5]。 由于这两个链表不相交,所以 intersectVal 必须为 0,而 skipA 和 skipB 可以是任意值。 这两个链表不相交,因此返回 null 。
提示:
listA中节点数目为mlistB中节点数目为n1 <= m, n <= 3 * 1041 <= Node.val <= 1050 <= skipA <= m0 <= skipB <= n- 如果
listA和listB没有交点,intersectVal为0 - 如果
listA和listB有交点,intersectVal == listA[skipA] == listB[skipB]
进阶:你能否设计一个时间复杂度 O(m + n) 、仅用 O(1) 内存的解决方案?
方法一:哈希集合
时间复杂度:O(m+n)
空间复杂度:O(m)
1 /** 2 * Definition for singly-linked list. 3 * function ListNode(val) { 4 * this.val = val; 5 * this.next = null; 6 * } 7 */ 8 9 /** 10 * @param {ListNode} headA 11 * @param {ListNode} headB 12 * @return {ListNode} 13 */ 14 var getIntersectionNode = function(headA, headB) { 15 const visited=new Set(); 16 let temp = headA; 17 while(temp!==null){ 18 visited.add(temp); 19 temp=temp.next; 20 } 21 temp=headB; 22 while(temp!==null){ 23 if(visited.has(temp)){ 24 return temp; 25 } 26 temp=temp.next; 27 } 28 return null; 29 };
方法二:双指针
时间复杂度:O(m+n)
空间复杂度:O(1)
1 /** 2 * Definition for singly-linked list. 3 * function ListNode(val) { 4 * this.val = val; 5 * this.next = null; 6 * } 7 */ 8 9 /** 10 * @param {ListNode} headA 11 * @param {ListNode} headB 12 * @return {ListNode} 13 */ 14 var getIntersectionNode = function(headA, headB) { 15 const visited=new Set(); 16 let temp = headA; 17 while(temp!==null){ 18 visited.add(temp); 19 temp=temp.next; 20 } 21 temp=headB; 22 while(temp!==null){ 23 if(visited.has(temp)){ 24 return temp; 25 } 26 temp=temp.next; 27 } 28 return null; 29 };

浙公网安备 33010602011771号