142.环形链表 II
给定一个链表的头节点 head ,返回链表开始入环的第一个节点。 如果链表无环,则返回 null。
如果链表中有某个节点,可以通过连续跟踪 next 指针再次到达,则链表中存在环。 为了表示给定链表中的环,评测系统内部使用整数 pos 来表示链表尾连接到链表中的位置(索引从 0 开始)。如果 pos 是 -1,则在该链表中没有环。注意:pos 不作为参数进行传递,仅仅是为了标识链表的实际情况。
不允许修改 链表。
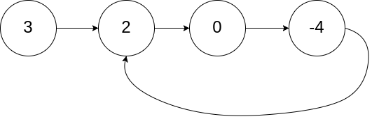
示例 1:

输入:head = [3,2,0,-4], pos = 1 输出:返回索引为 1 的链表节点 解释:链表中有一个环,其尾部连接到第二个节点。
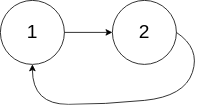
示例 2:

输入:head = [1,2], pos = 0 输出:返回索引为 0 的链表节点 解释:链表中有一个环,其尾部连接到第一个节点。
示例 3:
输入:head = [1], pos = -1 输出:返回 null 解释:链表中没有环。
提示:
- 链表中节点的数目范围在范围
[0, 104]内 -105 <= Node.val <= 105pos的值为-1或者链表中的一个有效索引
方法一:哈希表
时间复杂度:O(N)
空间复杂度:O(N)
1 /** 2 * Definition for singly-linked list. 3 * function ListNode(val) { 4 * this.val = val; 5 * this.next = null; 6 * } 7 */ 8 9 /** 10 * @param {ListNode} head 11 * @return {ListNode} 12 */ 13 var detectCycle = function(head) { 14 const visited = new Set(); 15 while (head !== null) { 16 if (visited !== null) { 17 return head; 18 } 19 visited.add(head); 20 head = head.next; 21 } 22 return null; 23 }
方法二:快慢指针
时间复杂度:O(N)
空间复杂度:O(1)
1 /** 2 * Definition for singly-linked list. 3 * function ListNode(val) { 4 * this.val = val; 5 * this.next = null; 6 * } 7 */ 8 /** 9 * @param {ListNode} head 10 * @return {ListNode} 11 */ 12 var detectCycle = function(head) { 13 if (head === null) { 14 return null; 15 } 16 let slow = head, 17 fast = head; 18 while (fast !== null) { 19 slow = slow.next; 20 if (fast.next !== null) { 21 fast = fast.next.next; 22 } else { 23 return null; 24 } 25 if (fast === slow) { 26 let ptr = head; 27 while (ptr !== slow) { 28 ptr = ptr.next; 29 slow = slow.next; 30 } 31 return ptr; 32 } 33 } 34 return null; 35 }

浙公网安备 33010602011771号