114. 二叉树展开为链表
给你二叉树的根结点 root ,请你将它展开为一个单链表:
- 展开后的单链表应该同样使用
TreeNode,其中right子指针指向链表中下一个结点,而左子指针始终为null。 - 展开后的单链表应该与二叉树先序遍历 顺序相同。
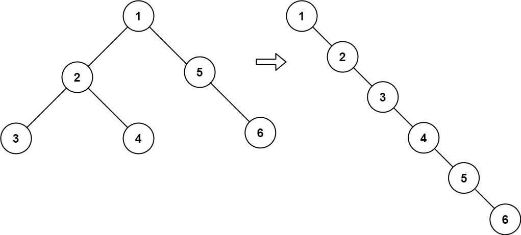
示例 1:

输入:root = [1,2,5,3,4,null,6] 输出:[1,null,2,null,3,null,4,null,5,null,6]
示例 2:
输入:root = [] 输出:[]
示例 3:
输入:root = [0] 输出:[0]
提示:
- 树中结点数在范围
[0, 2000]内 -100 <= Node.val <= 100
方法一:先序遍历
时间复杂度:O(n)
空间复杂度:O(n)
1 /** 2 * @param {TreeNode} root 3 * @return {void} Do not return anything, modify root in-place instead 4 */ 5 var flatten = function(root) { 6 const list = []; 7 preorderTraversal = list.length; 8 for (let i = 1; i < size; i++) { 9 const prev = list[i - 1], 10 curr = list[i]; 11 prev.left = null; 12 prev.right = curr; 13 } 14 } 15 const preorderTraversal = (root, list) => { 16 if (root !== null) { 17 list.push(root); 18 preorderTraversal(root.left, list); 19 preorderTraversal(root.right, list); 20 } 21 }

浙公网安备 33010602011771号