105. 从前序与中序遍历序列构造二叉树
给定两个整数数组 preorder 和 inorder ,其中 preorder 是二叉树的先序遍历, inorder 是同一棵树的中序遍历,请构造二叉树并返回其根节点。
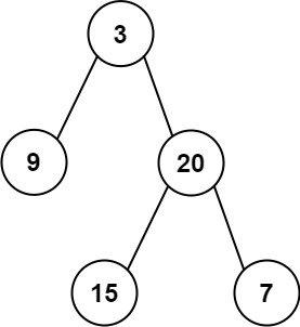
示例 1:

输入: preorder = [3,9,20,15,7], inorder = [9,3,15,20,7] 输出: [3,9,20,null,null,15,7]
示例 2:
输入: preorder = [-1], inorder = [-1] 输出: [-1]
提示:
1 <= preorder.length <= 3000inorder.length == preorder.length-3000 <= preorder[i], inorder[i] <= 3000preorder和inorder均 无重复 元素inorder均出现在preorderpreorder保证 为二叉树的前序遍历序列inorder保证 为二叉树的中序遍历序列
1 /** 2 * @param {number[]} preorder 3 * @param {number[]} inorder 4 * @return {TreeNode} 5 */ 6 var buildTree = function(preorder, inorder) { 7 if (preorder.length === 0) return null; 8 let tmp = preorder[0]; 9 let sz = inorder.indexOf(tmp); 10 let root = new TreeNode(tmp); 11 root.left = buildTree(preorder.slice(1, sz + 1), inorder(0, sz)); 12 root.right = buildTree(preorder.slice(sz + 1), inorder(sz + 1)); 13 return root; 14 }

浙公网安备 33010602011771号