96.不同的二叉搜索树
给你一个整数 n ,求恰由 n 个节点组成且节点值从 1 到 n 互不相同的 二叉搜索树 有多少种?返回满足题意的二叉搜索树的种数。
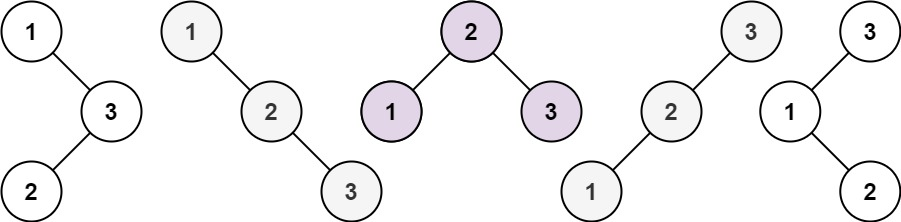
示例 1:

输入:n = 3 输出:5
示例 2:
输入:n = 1 输出:1
提示:
1 <= n <= 19
1 /** 2 * @param {number} n 3 * @return {number} 4 */ 5 var numTrees = function(n) { 6 const G=new Array(n+1).fill(0); 7 G[0]=1; 8 G[1]=1; 9 for(let i=2;i<=n;++i){ 10 for(let j=1;j<=i;++j){ 11 G[i]+=G[j-1]*G[i-j]; 12 } 13 } 14 return G[n]; 15 };

浙公网安备 33010602011771号