108.将有序数组转换为二叉搜索树
给你一个整数数组 nums ,其中元素已经按 升序 排列,请你将其转换为一棵 高度平衡 二叉搜索树。
高度平衡 二叉树是一棵满足「每个节点的左右两个子树的高度差的绝对值不超过 1 」的二叉树。
示例 1:

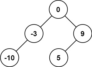
输入:nums = [-10,-3,0,5,9] 输出:[0,-3,9,-10,null,5] 解释:[0,-10,5,null,-3,null,9] 也将被视为正确答案:
示例 2:

输入:nums = [1,3] 输出:[3,1] 解释:[1,null,3] 和 [3,1] 都是高度平衡二叉搜索树。
提示:
1 <= nums.length <= 104-104 <= nums[i] <= 104nums按 严格递增 顺序排列
1 /** 2 * Defination for a binary tree node 3 * function TreeNode(val,left,right){ 4 * this.val=(val===undefined?0:val) 5 * this.left=(left===undefined?null:left) 6 * this.right=(right===undefined?null:right) 7 * } 8 */ 9 /** 10 * @param {number[]} nums 11 * @return {TreeNode} 12 */ 13 var sortedArrayToBST = function(nums) { 14 if (!nums.length) { 15 return null; 16 } 17 const headIndex = Math.floor(nums.length / 2); 18 const head = new TreeNode(nums[headIndex]); 19 let temp = head; 20 let left = headIndex - 1; 21 let right = headIndex + 1; 22 if (left >= 0) { 23 head.left = sortedArrayToBST(nums.slice(0, headIndex)); 24 } 25 if (right < nums.length) { 26 head.right = sortedArrayToBST(nums.slice(right)); 27 } 28 return head; 29 };

浙公网安备 33010602011771号