226.翻转二叉树
给你一棵二叉树的根节点 root ,翻转这棵二叉树,并返回其根节点。
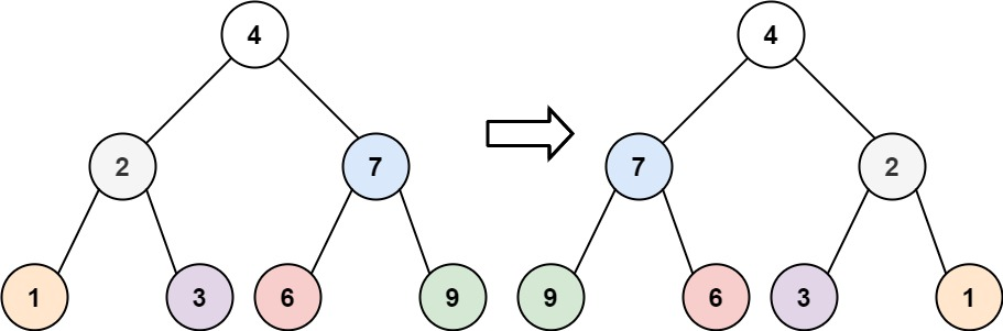
示例 1:

输入:root = [4,2,7,1,3,6,9] 输出:[4,7,2,9,6,3,1]
示例 2:

输入:root = [2,1,3] 输出:[2,3,1]
示例 3:
输入:root = [] 输出:[]
提示:
- 树中节点数目范围在
[0, 100]内 -100 <= Node.val <= 100
方法一:递归
时间复杂度:O(n)
空间复杂度:O(n)
1 /** 2 * Definition for a binary tree node. 3 * function TreeNode(val, left, right) { 4 * this.val = (val===undefined ? 0 : val) 5 * this.left = (left===undefined ? null : left) 6 * this.right = (right===undefined ? null : right) 7 * } 8 */ 9 /** 10 * @param {TreeNode} root 11 * @return {TreeNode} 12 */ 13 var invertTree = function(root) { 14 if(root===null) {return root;} 15 const left = invertTree(root.left); 16 const right =invertTree(root.right); 17 root.left=right; 18 root.right=left; 19 return root; 20 };

浙公网安备 33010602011771号