141.环形链表
给你一个链表的头节点 head ,判断链表中是否有环。
如果链表中有某个节点,可以通过连续跟踪 next 指针再次到达,则链表中存在环。 为了表示给定链表中的环,评测系统内部使用整数 pos 来表示链表尾连接到链表中的位置(索引从 0 开始)。注意:pos 不作为参数进行传递 。仅仅是为了标识链表的实际情况。
如果链表中存在环 ,则返回 true 。 否则,返回 false 。
示例 1:

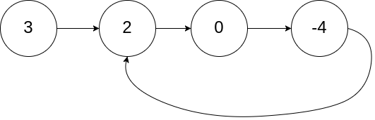
输入:head = [3,2,0,-4], pos = 1 输出:true 解释:链表中有一个环,其尾部连接到第二个节点。
示例 2:
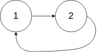
输入:head = [1,2], pos = 0 输出:true 解释:链表中有一个环,其尾部连接到第一个节点。
示例 3:

输入:head = [1], pos = -1
输出:false
解释:链表中没有环。
提示:
链表中节点的数目范围是 [0, 104]
-105 <= Node.val <= 105
pos 为 -1 或者链表中的一个 有效索引 。
方法一:哈希表
时间复杂度:O(N)
空间复杂度:O(N)
1 /** 2 * Definition for singly-linked list. 3 * function ListNode(val) { 4 * this.val = val; 5 * this.next = null; 6 * } 7 */ 8 /** 9 * @param {ListNode} head 10 * @return {boolean} 11 */ 12 var hasCycle = function(head) { 13 let map = new Map(); 14 while (head) { 15 if (map.has(head)) { 16 return true; //如果当前节点在map中存在就说明有环 17 } 18 map.set(head, true); //否则就加入map 19 head = head.next; //迭代节点 20 } 21 return false; //循环完成发现没有重复节点,说明没环 22 }
方法二:双指针
时间复杂度:O(N)
空间复杂度:O(1)
1 /** 2 * Definition for singly-linked list. 3 * function ListNode(val) { 4 * this.val = val; 5 * this.next = null; 6 * } 7 */ 8 9 /** 10 * @param {ListNode} head 11 * @return {boolean} 12 */ 13 var hasCycle = function(head) { 14 if(!head||!head.next) return false; 15 let slow = head; 16 let fast = head.next; 17 while(slow!==fast){ 18 if(!fast||!fast.next){ 19 return false; 20 } 21 slow=slow.next; 22 fast=fast.next.next; 23 } 24 return true; 25 };

浙公网安备 33010602011771号