101.对称二叉树
给你一个二叉树的根节点 root , 检查它是否轴对称。
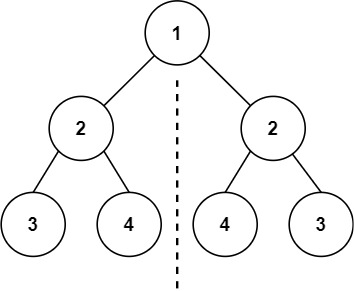
示例一:

输入:root = [1,2,2,3,4,4,3] 输出:true
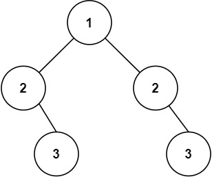
示例 2:

输入:root = [1,2,2,null,3,null,3] 输出:false
提示:
- 树中节点数目在范围
[1, 1000]内 -100 <= Node.val <= 100
方法一:递归
时间复杂度:O(n)
空间复杂度:O(n)
1 /** 2 * Definition for a binary tree node. 3 * function TreeNode(val, left, right) { 4 * this.val = (val===undefined ? 0 : val) 5 * this.left = (left===undefined ? null : left) 6 * this.right = (right===undefined ? null : right) 7 * } 8 */ 9 /** 10 * @param {TreeNode} root 11 * @return {boolean} 12 */ 13 var isSymmetric = function(root) { 14 return isSymmetricTree(root,root); 15 }; 16 var isSymmetricTree=function(node1,node2){ 17 if(!node1&&!node2){return true; } 18 if(!node1||!node2){return false;} 19 if(node1.val!==node2.val){return false;} 20 return isSymmetricTree(node1.left,node2.right)&&isSymmetricTree(node1.right,node2.left); 21 }

浙公网安备 33010602011771号