图解实例讲解JavaScript算法,让你彻底搞懂
你好程序员,我们大多数人都害怕算法,并且从未开始学习它。但我们不应该害怕它。算法只是解决问题的步骤。
今天让我们以简单和说明性的方式介绍主要算法。
不要试图记住它们,算法更多的是解决问题。所以,坐下来用纸和笔。目录中的术语可能看起来很吓人,但只要和我在一起,我保证会以尽可能简单的方式解释所有内容。
目 录
-
大 O 表示法
-
理解大 O 符号
-
算法
-
什么是算法,为什么要关心?
-
递归
-
线性搜索算法
-
二进制搜索算法
-
朴素搜索算法
-
KMP算法
-
冒泡排序
-
合并排序
-
快速排序
-
基数排序
理解大 O 符号
Big O Notation 是一种表示算法时间和空间复杂度的方法。
-
时间复杂度:算法完成执行所花费的时间。
-
空间复杂度:算法占用的内存。
表示算法时间复杂度的表达式(符号)很少。
-
O(1):常数时间复杂度。这是理想情况。
-
O(log n):对数时间复杂度。如果`log(n) = x`那么它与`10^x`
-
O(n):线性时间复杂度。时间随着输入的数量呈线性增加。例如,如果一个输入需要 1 毫秒,则 4 个输入将花费 4 毫秒来执行算法。
-
O(n^2):二次时间复杂度。这主要发生在嵌套循环的情况下。
-
O(n!):阶乘时间复杂度。这是最坏的情况,应该避免。
您应该尝试编写您的算法,使其可以用前 3 个符号表示。最后两个应尽可能避免。
您希望尽可能地降低复杂性,最好避免超过 O(n) 的复杂性。
在本文的后续部分中,您将看到每种表示法的示例。现在,这就是您需要知道的全部内容。
算法
什么是算法,为什么要关心?
解决问题的方法,或者我们可以说解决问题的步骤、过程或规则集被称为算法。
例如:用于查找与搜索字符串相关的数据的搜索引擎算法。
作为一名程序员,您会遇到许多需要使用这些算法解决的问题。因此,如果您已经了解它们会更好。
递归
调用自身的函数是递归的。将其视为循环的替代方案。
function recursiveFn() {
console.log("This is a recursive function");
recursiveFn();
}
recursiveFn();
在上面的代码片段中,请看第 3 行recursiveFn 在 recursiveFn 本身中被调用。正如我之前提到的,递归是循环的替代方法。
那么,这个函数到底要运行多少次呢?
好吧,这将创建一个无限循环,因为在任何时候都无法阻止它。
假设我们只需要运行循环 10 次。在第 11 次迭代函数应该返回。这将停止循环。
let count = 1;
function recursiveFn() {
console.log(`Recursive ${count}`);
if (count === 10) return;
count++;
recursiveFn();
}
recursiveFn();
在上面的代码片段中,第 4 行返回并在计数为 10 时停止循环。
现在让我们看一个更现实的例子。我们的任务是从给定的数组中返回奇数数组。这可以通过多种方式实现,包括 for-loop、Array.filter 方法等
但是为了展示递归的使用,我将使用 helperRecursive 函数。
function oddArray(arr) {
let result = [];
function helperRecursiveFn(arr) {
if(arr.length === 0) {
return; // 1
} else if(arr[0] % 2 !== 0) {
result.push(arr[0]); // 2
}
helperRecursiveFn(arr.slice(1)); // 3
}
helperRecursiveFn(arr);
return result;
}
oddArray([1, 2, 3, 4, 5, 6, 7, 8, 9, 10]);
// OutPut -> [1, 3, 5, 7, 9]
这里的递归函数是helperRecursiveFn。
例如:第一次 helperRecursiveFn 将被调用[1, 2, 3, 4, 5, 6, 7, 8, 9, 10]。下次它将被调用,[2, 3, 4, 5, 6, 7, 8, 9, 10]依此类推,直到数组长度为 0。
线性搜索算法
线性搜索算法非常简单。假设您需要查找给定数组中是否存在某个数字。
您将运行一个简单的 for 循环并检查每个元素,直到找到您要查找的元素。
const array = [3, 8, 12, 6, 10, 2];
// Find 10 in the given array.
function checkForN(arr, n) {
for(let i = 0; i < array.length; i++) {
if (n === array[i]) {
return `${true} ${n} exists at index ${i}`;
}
}
return `${false} ${n} does not exist in the given array.`;
}
checkForN(array, 10);
这就是线性搜索算法。您以线性方式逐一搜索数组中的每个元素。
线性搜索算法的时间复杂度
只有一个 for 循环会运行 n 次。其中 n(在最坏的情况下)是给定数组的长度。这里的迭代次数(在最坏的情况下)与输入(长度数组)成正比。
因此,线性搜索算法的时间复杂度是线性时间复杂度:O(n)。
二进制搜索算法
在线性搜索中,您一次可以消除一个元素。但是使用二进制搜索算法,您可以一次消除多个元素。这就是二分查找比线性查找快的原因。
这里要注意的一点是,二分查找只对排序好的数组有效。
该算法遵循分而治之的方法。让我们在 [2, 3, 6, 8, 10, 12] 中找到 8 的索引。
第 1 步:找到数组的中间索引。
const array = [2, 3, 6, 8, 10, 12];
let firstIndex = 0;
let lastIndex = array.length - 1;
let middleIndex = Math.floor((firstIndex + lastIndex) / 2); // middleIndex -> 2
第 2 步:检查middleIndex元素是否 > 8。如果是,则说明 8 在middleIndex的左侧。因此,将lastIndex更改为 (middleIndex - 1)。
第 3 步:否则如果 middleIndex元素 < 8。这意味着 8 在middleIndex的右边。因此,将firstIndex更改为 (middleIndex+ 1);
if (array[middleIndex] > 8) {
lastIndex = middleIndex - 1;
} else {
firstIndex = middleIndex + 1;
}
第 4 步:每次迭代都会根据新的firstIndex或lastIndex 再次设置middleIndex。
让我们以代码格式一起查看所有这些步骤。
function binarySearch(array, element) {
let firstIndex = 0;
let lastIndex = array.length - 1;
let middleIndex = Math.floor((firstIndex + lastIndex) / 2);
while (array[middleIndex] !== element && firstIndex <= lastIndex) {
if(array[middleIndex] > element) {
lastIndex = middleIndex - 1;
}else {
firstIndex = middleIndex + 1;
}
middleIndex = Math.floor((firstIndex + lastIndex) / 2);
}
return array[middleIndex] === element ? middleIndex : -1;
}
const array = [2, 3, 6, 8, 10, 12];
binarySearch(array, 8); // OutPut -> 3
这是上述代码的可视化表示。
步骤1
firstIndex = middleIndex + 1;
第2步
lastIndex = middleIndex - 1;
步骤:3
array[middleIndex] === 8 // Found It
二分查找的时间复杂度
只有一个 while 循环会运行 n 次。但是这里的迭代次数不依赖于输入(数组长度)。
因此,二进制搜索算法的时间复杂度是对数时间复杂度:O(log n)。你可以检查 O 符号图。O(log n) 比 O(n) 快。
朴素搜索算法
朴素搜索算法用于查找字符串是否包含给定的子字符串。例如,检查“helloworld”是否包含子字符串“owo”。
-
首先循环主字符串(“
helloworld”)。 -
在子字符串 ("
owo") 上运行嵌套循环。 -
如果字符不匹配,则中断内部循环,否则继续循环。
-
如果内循环完成并匹配,则返回
true否则继续外循环。
这是一个视觉表示。
这是代码中的实现。
function naiveSearch(mainStr, subStr) {
if (subStr.length > mainStr.length) return false;
for(let i = 0; i < mainStr.length; i++) {
for(let j = 0; j < subStr.length; j++) {
if(mainStr[i + j] !== subStr[j]) break;
if(j === subStr.length - 1) return true;
}
}
return false;
}
现在,让我们试着理解上面的代码。
-
在第 2 行,如果
subString长度大于mainString长度,则返回false。 -
在第 4 行,开始在
mainString上循环。 -
在第 5 行,在
subString上开始嵌套循环。 -
在第 6 行,如果没有找到匹配项,则中断内循环,并继续进行外循环的下一次迭代。
-
在第 7 行,在内循环的最后一次迭代中返回
true。
朴素搜索的时间复杂度
循环中有循环(嵌套循环)。两个循环都运行 n 次。因此,朴素搜索算法的时间复杂度是 (n * n) Quadratic Time Complexity: O(n^2)。
如上文所述,如果可能,应避免超过 O(n) 的任何时间复杂度。在下一个算法中,我们将看到一种时间复杂度更低的更好方法。
KMP算法
KMP算法是一种模式识别算法,理解起来有点费劲。好的,让我们尝试查找字符串“abcabcabspl”是否包含子字符串“abcabs”。
如果我们尝试使用Naive Search Algo来解决这个问题,它将匹配前 5 个字符但不匹配第 6 个字符。我们将不得不从下一次迭代重新开始,我们将失去上一次迭代的所有进展。
所以,为了保存我们的进度并使用它,我们必须使用一个叫做 LPS 表的东西。现在在我们匹配的字符串“abcab”中,我们将找到最长的相同前缀和后缀。
在这里,在我们的字符串“abcab”中,“ab”是最长的相同前缀和后缀。
现在,我们将从索引 5(对于主字符串)开始下一次搜索迭代。我们从之前的迭代中保存了两个字符。
为了找出前缀、后缀以及从哪里开始下一次迭代,我们使用 LPS 表。
我们的子串(“abcabs”)的 LPS 是“0 0 0 1 2 0”。
下面是如何计算 LPS 表。
function calculateLpsTable(subStr) {
let i = 1;
let j = 0;
let lps = new Array(subStr.length).fill(0);
while(i < subStr.length) {
if(subStr[i] === subStr[j]) {
lps[i] = j + 1;
i += 1;
j += 1;
} else {
if(j !== 0) {
j = lps[j - 1];
} else {
i += 1;
}
}
}
return lps;
}
下面是使用 LPS 表的代码实现。
function searchSubString(string, subString) {
let strLength = string.length;
let subStrLength = subString.length;
const lps = calculateLpsTable(subString);
let i = 0;
let j = 0;
while(i < strLength) {
if (string[i] === subString[j]) {
i += 1;
j += 1;
} else {
if (j !== 0) {
j = lps[j - 1];
} else {
i += 1;
}
}
if (j === subStrLength) return true;
}
return false;
}
KMP算法的时间复杂度
只有一个循环运行 n 次。因此,KMP 算法的时间复杂度是线性时间复杂度:O(n)。
请注意,与 Naive 搜索算法相比,时间复杂度是如何提高的。
冒泡排序算法
排序意味着按升序或降序重新排列数据。冒泡排序是众多排序算法中的一种。
在冒泡排序算法中,我们通过将每个数字与前一个数字进行比较,将较大的数字交换到末尾。这是一个视觉表示。
冒泡排序代码实现。
function bubbleSort(array) {
let isSwapped;
for(let i = array.length; i > 0; i--) {
isSwapped = false;
for(let j = 0; j < i - 1; j++) {
if(array[j] > array[j + 1]) {
[array[j], array[j+1]] = [array[j+1], array[j]];
isSwapped = true;
}
}
if(!isSwapped) {
break;
}
}
return array;
}
让我们试着理解上面的代码。
-
从带有变量 i 的数组末尾开始循环。
-
以变量 j 开始内循环,直到 (i - 1)。
-
如果 array[j] > array[j + 1] 交换它们。
-
返回排序数组。
冒泡排序算法的时间复杂度
有一个嵌套循环,两个循环都运行 n 次,因此该算法的时间复杂度为 (n * n) 即二次时间复杂度 O(n^2)。
合并排序算法
合并排序算法遵循分而治之的方法。它是两件事的结合——合并和排序。
在这个算法中,我们首先将主数组分成多个单独的排序数组。
然后我们将单独排序的元素合并到最终数组中。
让我们看看代码中的实现。
合并排序数组
function mergeSortedArray(array1, array2) {
let result = [];
let i = 0;
let j = 0;
while(i < array1.length && j < array2.length) {
if(array1[i] < array2[j]) {
result.push(array1[i]);
i++;
} else {
result.push(array2[j]);
j++;
}
}
while (i < array1.length) {
result.push(array1[i]);
i++;
}
while (j < array2.length) {
result.push(array2[j]);
j++;
}
return result;
}
上面的代码将两个排序数组合并为一个新的排序数组。
合并排序算法
function mergeSortedAlgo(array) {
if(array.length <= 1) return array;
let midPoint = Math.floor(array.length / 2);
let leftArray = mergeSortedAlgo(array.slice(0, midPoint));
let rightArray = mergeSortedAlgo(array.slice(midPoint));
return mergeSortedArray(leftArray, rightArray);
}
上述算法使用递归将数组划分为多个单元素数组。
归并排序算法的时间复杂度
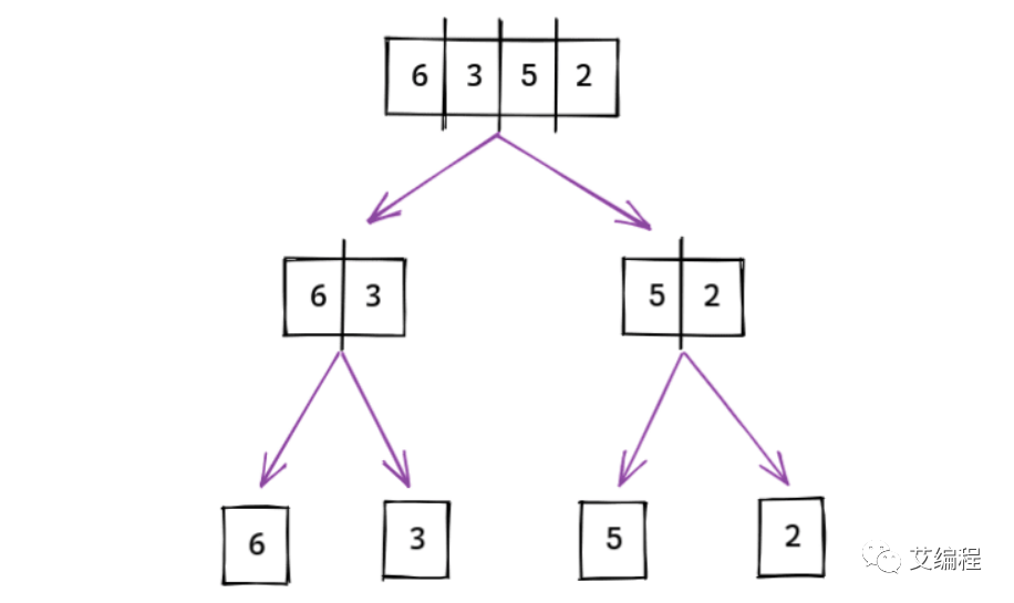
让我们尝试计算归并排序算法的时间复杂度。因此,以我们之前的示例([6, 3, 5, 2])为例,将其划分为多个单元素数组需要 2 个步骤。
It took 2 steps to divide an array of length 4 - (2^2)
现在,如果我们将数组 (8) 的长度加倍,则需要 3 个步骤来划分 - (2^3)。意味着将数组长度加倍并没有使步骤加倍。
因此合并排序算法的时间复杂度是对数时间复杂度 O(log n)。
快速排序算法
快速排序是最快的排序算法之一。在快速排序中,我们选择一个称为 pivot 的元素,我们会将所有元素(小于 pivot)移动到 pivot 的左侧。
视觉表示。
我们将对枢轴左侧和右侧的数组重复此过程,直到对数组进行排序。
代码实现:枢轴效用
function pivotUtility(array, start=0, end=array.length - 1) {
let pivotIndex = start;
let pivot = array[start];
for(let i = start + 1; i < array.length; i++) {
if(pivot > array[i]) {
pivotIndex++;
[array[pivotIndex], array[i]] = [array[i], array[pivotIndex]];
}
}
[array[pivotIndex], array[start]] = [array[start], array[pivotIndex]];
return pivotIndex;
}
上面的代码标识了 pivot 的正确位置并返回该位置索引。
function quickSort(array, left=0, right=array.length-1) {
if (left < right) {
let pivotIndex = pivotUtility(array, left, right);
quickSort(array, left, pivotIndex - 1);
quickSort(array, pivotIndex + 1, right);
}
return array;
}
上面的代码使用递归将枢轴移动到左右枢轴数组的正确位置。
快速排序算法的时间复杂度
最佳情况:对数时间复杂度 - O(n log n)
平均情况:对数时间复杂度 - O(n log n)
最坏情况:O(n^2)
基数排序算法
基数排序也称为桶排序算法。
这里首先我们构建 10 个索引桶,从 0 到 9。然后我们取每个数字中的最后一个字符,并将该数字推送到相应的桶中。检索新顺序并重复每个数字的倒数第二个字符。
不断重复上述过程,直到数组排序完毕。
在代码中实现。
// Count Digits: 下面的代码计算给定元素的位数。
function countDigits(number) {
if(number === 0) return 1;
return Math.floor(Math.log10(Math.abs(number))) + 1;
}
// 获取数字:下面的代码从右边给出索引 i 处的数字。
function getDigit(number, index) {
const stringNumber = Math.abs(number).toString();
const currentIndex = stringNumber.length - 1 - index;
return stringNumber[currentIndex] ? parseInt(stringNumber[currentIndex]) : 0;
}
// MaxDigit:下面的代码片段找到了最大位数的数字。
function maxDigit(array) {
let maxNumber = 0;
for(let i = 0; i < array.length; i++) {
maxNumber = Math.max(maxNumber, countDigits(array[i]));
}
return maxNumber;
}
// Radix 算法:利用上述所有代码段对数组进行排序。
function radixSort(array) {
let maxDigitCount = maxDigits(array);
for(let i = 0; i < maxDigitCount; i++) {
let digitBucket = Array.from({length: 10}, () => []);
for(let j = 0; j < array.length; j++) {
let lastDigit = getDigit(array[j], i);
digitBucket[lastDigit].push(array[j]);
}
array = [].concat(...digitBucket);
}
return array;
}
基数排序算法的时间复杂度
有一个嵌套的for循环,我们知道嵌套的for循环的时间复杂度是O(n^2)。但是在这种情况下,for 循环都不会运行 n 次。
外循环运行 k (maxDigitCount) 次,内循环运行 m (数组长度) 次。因此,基数排序的时间复杂度为 O(kxm) - (其中 kxm = n)线性时间复杂度 O(n)
算法和计算机原理是如今在企业面试和进入互联网大厂必要的技能,如果你正在学前端,你也可以来咨询我们,我们的JavaScript系统课程中针对算法和基础原理也有详细的视频简介!!

浙公网安备 33010602011771号