打怪升级之小白的大数据之旅<Java基础知识点巩固习题>
我整理一下最近学习的知识点相关的练习题及答案,希望可以帮到大家对所学的知识点进行查漏补缺(尽量先不看答案)
Java基础语法相关练习集
Java基本程序相关题集
第一题
- 按步骤编写代码,效果如图所示:
![在这里插入图片描述]()
- 编写步骤:
- 定义类 Test1
- 定义 main方法
- 控制台输出5行字符串类型常量值
- 控制台输出5行字符类型常量值
- 答案:
class Test1{
public static void main(String[] args){
System.out.println("善学如春起之苗");
System.out.println("不见其增,日有所长");
System.out.println("假学如磨刀之石");
System.out.println("不见其损,年有所亏");
System.out.println("加油吧!少年");
System.out.println("J");
System.out.println("A");
System.out.println("V");
System.out.println("A");
System.out.println("!");
}
}
第二题
- 按步骤编写代码,效果如图所示:
![在这里插入图片描述]()
- 编写步骤:
- 定义类 Test5
- 定义 main方法
- 定义2个 float类型变量,分别赋值,并输出在控制台.
- 定义2个 double类型变量,分别赋值,并输出在控制台.
- 答案
public class Test2{
public static void main(String[] args) {
// 方法1 逐行打印
float num1 = -3.14f, num2 = 3.14f;
double num3 = -3.4, num4 = 3.4;
System.out.println(num1);
System.out.println(num2);
System.out.println(num3);
System.out.println(num4);
}
}
第三题
- 按步骤编写代码,效果如图所示:
![在这里插入图片描述]()
- 步骤图解:
![交换变量图解]()
- 开发提示:定义变量不赋值的格式
// 数据类型 变量名 ;
int temp; - 编写步骤:
- 定义类 Test3
- 定义 main方法
- 定义两个整数变量a,b并赋值
- 控制台输出变量a,b互换前的值
- 定义一个第三方变量temp,使a,b的值互换
- 控制台输出变量a,b互换后的值
- 答案
public class Test3 {
public static void main(String[] args) {
int a = 10;
int b = 20;
System.out.println("互换前:");
System.out.println("a = " + a);
System.out.println("b = " + b);
int temp = a;
a = b;
b = temp;
System.out.println("互换后:");
System.out.println("a = " + a);
System.out.println("b = " + b);
}
}
第四题
- 按步骤编写代码,效果如图所示:
![扩展题目]()
- 开发提示:四则运算的符号
加: +
减: -
乘: *
除: / - 编写步骤:
- 定义类 Test4
- 定义 main方法
- 定义2个int类型变量x、y,x赋值为100,y赋值为200
- 定义新变量add,保存变量x,y的和并打印到控制台
- 定义新变量sub,保存变量x,y的差并打印到控制台
- 定义新变量mul,保存变量x,y的积并打印到控制台
- 定义新变量div,保存变量x,y的商并打印到控制台
public class Test4 {
public static void main(String[] args) {
int x = 100;
int y = 200;
System.out.println("x,y的和为:" + (x+y));
System.out.println("x,y的差为:" + (x-y));
System.out.println("x,y的积为:" + (x*y));
System.out.println("x,y的商为:" + (x/y));
}
}
第五题
-
按步骤编写代码,效果如图所示:
![在这里插入图片描述]()
-
开发提示:观察小数类型数值运算后的结果.
小数运算经常出现精度丢失的问题,不建议使用基本类型运算. -
编写步骤:
- 定义类 Test5
- 定义 main方法
- 定义2个double类型变量x、y,x赋值为100.8,y赋值为20.6
- 定义新变量add,保存变量x,y的和并打印到控制台
- 定义新变量sub,保存变量x,y的差并打印到控制台
- 定义新变量mul,保存变量x,y的积并打印到控制台
- 定义新变量div,保存变量x,y的商并打印到控制台
-
提示:
- 加法:+
- 减法:-
- 乘法:*
- 除法:/
-
答案
public class Test5 {
public static void main(String[] args) {
double x = 100.8;
double y = 20.6;
double add = x + y;
System.out.println("x,y的和为:" + add);
double sub = x - y;
System.out.println("x,y的差为:" + sub);
double mul = x * y;
System.out.println("x,y的积为:" + mul);
double div = x / y;
System.out.println("x,y的商为:" + div);
}
}
简答题
1、如何用最有效的的方法计算2乘以8
答案: 2<<3
Java运算符&数据类型相关题集
第一题
- 按步骤编写代码,效果如图所示:
![在这里插入图片描述]()
- 编写步骤:
- 定义类 Test1
- 定义 main方法
- 定义两个byte类型变量b1,b2,并分别赋值为10和20.
- 定义变量b3,保存b1和b2的和,并输出.
- 定义两个short类型变量s1,s2,并分别赋值为1000和2000.
- 定义变量s3,保存s1和s2的和,并输出.
- 定义一个char类型变量ch1赋值为’a’,一个int类型变量i1赋值为30.
- 定义变量ch3,保存c1和i1的差,并输出.
- 答案
public class Test01 {
public static void main(String[] args) {
byte b1 = 10;
byte b2 = 20;
byte b3 = (byte)(b1 + b2);
System.out.println("byte类型的b1和b2的和为:");
System.out.println(b3);
short s1 = 1000;
short s2 = 2000;
short s3 = (short)(s1 + s2);
System.out.println("short类型的s1和s2的和为:");
System.out.println(s3);
char c1 = 'a';
int i1 = 30;
int ch3 = c1 - i1;
System.out.println("char类型的ch1和int类型的i1的差:");
System.out.println(ch3);
}
}
第二题
- 按步骤编写代码,效果如图所示:
![在这里插入图片描述]()
- 编写步骤:
- 定义类 Test2
- 定义 main方法
- 定义 int类型变量i1 和 long类型变量l1
- 定义变量add,保存i1和l1的和,并输出.
- 定义 long类型变量l2 和 float类型变量f2
- 定义变量add2,保存l2和f2的和,并输出.
- 定义 int类型变量i3 和 double类型变量d3
- 定义变量add3,保存i3和d3的和,并输出.
- 定义 float类型变量f4 和 double类型变量d4
- 定义变量add4,保存f4和d4的和,并输出.
- 答案
public class Test2 {
public static void main(String[] args) {
int i1 = 100;
long l1 = 200;
long add = i1 + l1;
System.out.println("add的值:" + add);
long l2 = 1000000L;
float f2 = 0.44F;
float add2 = l2 + f2;
System.out.println("add2的值:" + add2);
int i3 = 100000;
double d3 = 0.45;
double add3 = i3 + d3;
System.out.println("add3的值:" + add3);
float f4 = 1000000;
double d4 = 1.2625;
double add4 = f4 + d4;
System.out.println("add4的值:" + add4);
}
}
第三题
-
按步骤编写代码,效果如图所示:
![在这里插入图片描述]()
-
编写步骤:
- 定义类 Test3
- 定义 main方法
- 定义char类型变量ch,赋值为’J’
- 使用强制转换的方式,将变量ch转换为小写’j’,并输出
- 定义char类型变量ch2,赋值为’a’
- 使用+=的方式,将变量ch2转换为大写’A’,并输出
- 定义double类型变量d3,int类型变量i3
- 定义double变量sum3,保存d3与i3的和,输出sum3的值和sum3去除小数部分的值
- 定义double类型变量d4,int类型变量i4
- 定义int变量mul4,保存d4和i4乘积的整数部分,并输出
-
答案
public class Test03 {
public static void main(String[] args){
char ch = 'J';
char ch1 = (char)(ch + 32);
System.out.println(ch1);
char ch2 = 'a';
ch2 -= 32;
System.out.println(ch2);
double d3 = 100.5;
int i3 = 3;
double sum3 = d3 + i3;
int sum4 = (int)sum3;
System.out.println("sum3的值:" + sum3);
System.out.println("sum3的整数部分的值:" + sum4);
double d4 = 4.0;
int i4 = 435;
int mul4 = (int)(d4 * i4);
System.out.println("mul4的整数部分的值:" + mul4);
}
}
第四题
- 按步骤编写代码,效果如图所示:
![在这里插入图片描述]()
- 编写步骤:
- 定义类 Test4
- 定义 main方法
- 定义两个int类型变量a1和a2,分别赋值10,11,判断变量是否为偶数,拼接输出结果
- 定义两个int类型变量a3和a4,分别赋值12,13,判断变量是否为奇数,拼接输出结果
- 答案
public class Test04 {
public static void main(String[] args) {
int a1 = 10;
int a2 = 11;
int a3 = 12;
int a4 = 13;
System.out.println("10是偶数?" + (a1 % 2 == 0));
System.out.println("11是偶数?" + (a2 % 2 == 0));
System.out.println("12是奇数?" + (a3 % 2 != 0));
System.out.println("13是奇数?" + (a4 % 2 != 0));
}
}
第五题
-
按步骤编写代码,效果如图所示:
![在这里插入图片描述]()
-
编写步骤:
- 定义类 Test5
- 定义 main方法
- 定义一个int类型变量a,变量b,都赋值为20.
- 定义boolean类型变量bo , 判断++a 是否被3整除,并且a++ 是否被7整除,将结果赋值给bo
- 输出a的值,bo的值.
- 定义boolean类型变量bo2 , 判断b++ 是否被3整除,并且++b 是否被7整除,将结果赋值给bo2
- 输出b的值,bo2的值.
-
答案
public class Test05 {
public static void main(String[] args){
int a = 20;
int b = 20;
boolean bo = ((++a % 3) == 0) && ((a++ % 7) == 0);
boolean bo2 = ((b++ % 3) == 0) && ((++b % 7) == 0);
System.out.println("bo的值:" + bo);
System.out.println("a的值:" + a);
System.out.println("----------------------------");
System.out.println("bo2的值:" + bo2);
System.out.println("b的值:" + b);
}
}
第六题
案例:为抵抗洪水,战士连续作战89小时,编程计算共多少天零多少小时?
-
按步骤编写代码,效果如图所示:
![在这里插入图片描述]()
-
编写步骤:
- 定义类Test6
- 定义main方法
- 定义一个int类型变量hours,赋值为89
- 定义一个int类型变量day,用来保存89小时中天数的结果
- 定义一个int类型变量hour,用来保存89小时中不够一天的剩余小时数的结果
- 输出结果
-
答案
public class Test06 {
public static void main(String[] args){
int hours = 89;
int day = hours / 24;
int hour = hours % 24;
System.out.println("为抵抗洪水,战士连续作战89小时:");
System.out.println(hours + "是" + day + "天" + hour +"小时");
}
}
第七题
案例:今天是周2,100天以后是周几?
- 按步骤编写代码,效果如图所示:
![在这里插入图片描述]()
- 编写步骤:
- 定义类Test7
- 定义main方法
- 定义一个int类型变量week,赋值为2
- 修改week的值,在原值基础上加上100
- 因为week的值加上100后超过了星期的范围,重写修改week的值
- 输出结果,在输出结果的时候考虑特殊值,例如周日
- 答案
public class Test07 {
public static void main(String[] args){
int week = 2;
week += 100;
week %= 7;
System.out.println("今天是周2,100天以后是周" + (week==0?"日":week));
}
}
第八题
案例:求三个整数x,y,z中的最大值
- 按步骤编写代码,效果如图所示:
![在这里插入图片描述]()
- 编写步骤:
- 定义类Test8
- 定义main方法
- 定义三个int类型变量,x,y,z,随意赋值整数值
- 定义一个int类型变量max,先存储x与y中的最大值(使用三元运算符)
- 再次对max赋值,让它等于上面max与z中的最大值(使用三元运算符)
- 输出结果
- 答案
public class Test08 {
public static void main(String[] args) {
int x = 3;
int y = 4;
int z = 1;
int max = x > y ? x : y;
max = max > z ? max : z;
System.out.println(x + "," + y + "," + z + "中的最大值是:" + max);
}
}
第九题
案例:给定一个年份,判断是否是闰年
闰年的判断标准是:
1)可以被4整除,但不可被100整除
2)可以被400整除
- 按步骤编写代码,效果如图所示:
![在这里插入图片描述]()
- 编写步骤:
- 定义类Test9
- 定义main方法
- 定义一个int类型变量year,随意赋值一个年份
- 定一个一个boolean类型变量,用来保存这个年份是否是闰年的结果
- 输出结果
- 答案
public class Test09 {
public static void main(String[] args) {
int year = 2018;
boolean result = year%4==0 && year%100!=0 || year%400==0;
System.out.println(year + (result ? "是闰年" : "不是闰年"));
}
}
第十题
案例:小明要到美国旅游,可是那里的温度是以华氏度为单位记录的。它需要一个程序将华氏温度(80度)转换为摄氏度,并以华氏度和摄氏度为单位分别显示该温度。
-
按步骤编写代码,效果如图所示:
![在这里插入图片描述]()
-
编写步骤:
- 定义类Test10
- 定义main方法
- 定义一个double类型变量hua,存储华氏温度80
- 定义一个double类型变量she,存储摄氏温度,根据公式求值
- 输出结果
-
答案
public class Test10 {
public static void main(String[] args) {
double hua = 80;
double she = (hua-32)/1.8;
System.out.println("华氏度" + hua+"℉转为摄氏度是" +she+"℃");
}
}
阅读代码题:
第一题
如下代码的计算结果是:
int i = 1;
i *= 0.2;
i++;
System.out.println("i=" + i);
答案: //i=1
第二题
如下代码的运算结果是:
int i = 2;
i *= i++;
int j = 2;
j *= j+1;
int k = 2;
k *= ++k;
System.out.println("i=" + i);//答案: i=4
System.out.println("j=" + j);//答案: i=6
System.out.println("k=" + k);//答案: i=6
第三题
public static void main(String[] args) {
int a = 3;
int b = 1;
if(a = b){//答案: 编译报错
System.out.println("Equal");
}else{
System.out.println("Not Equal");
}
}
第四题
public static void main(String[] args) {
int a= 8, b = 3;
System.out.println(a>>>b);
/*
0000 1000
0000 0001
因此,答案是: 1*/
System.out.println(a>>>b | 2);
/*
0000 0010
0000 0011
因此,答案是: 3*/
}
Java流程控制&循环相关题集
第1题:成绩及格
- 从键盘输入一个分数,如果60分(含)以上,就打印合格,如果60分以下,就打印不合格
- 答案
// 第一种方法
public class TestExer01{
public static void main(String[] args){
java.util.Scanner input = new java.util.Scanner(System.in);
System.out.print("请输入成绩:");
int score = input.nextInt();
if(score >= 60){
System.out.println("合格");
}else{
System.out.println("不合格");
}
}
}
// 第二种方法
public class TestExer01{
public static void main(String[] args){
java.util.Scanner input = new java.util.Scanner(System.in);
System.out.print("请输入成绩:");
int score = input.nextInt();
System.out.println(score >= 60 ? "合格" : "不合格");
}
}
第2题:成绩奖励
- 岳小鹏参加Java考试,他和父亲岳不群达成承诺:如果:
- 成绩为100分时,奖励一辆BMW;
- 成绩为(80,99]时,奖励一台iphone7plus;
- 当成绩为[60,80]时,奖励一个 iPad;
- 其它时,什么奖励也没有。
- 请从键盘输入岳小鹏的期末成绩,并加以判断
- 答案:
// 第一种方法
public class TestExer2{
public static void main(String[] args){
java.util.Scanner input = new java.util.Scanner(System.in);
System.out.print("请输入岳小鹏的成绩:");
int score = input.nextInt();
if(score<0 || score>100){
System.out.println("你输入的成绩有误!");
}else if(score == 100){
System.out.println("奖励一辆BMW");
}else if(score>80 && score<=99){
System.out.println("奖励一台iphone7plus");
}else if(score>=60 && score<=80){
System.out.println("奖励一个 iPad");
}else{
System.out.println("继续努力,什么奖励也没有");
}
}
}
// 第二种方法
public class TestExer2{
public static void main(String[] args){
java.util.Scanner input = new java.util.Scanner(System.in);
System.out.print("请输入岳小鹏的成绩:");
int score = input.nextInt();
if(score<0 || score>100){
System.out.println("你输入的成绩有误!");
}else if(score == 100){
System.out.println("奖励一辆BMW");
}else if(score>80){
System.out.println("奖励一台iphone7plus");
}else if(score>=60){
System.out.println("奖励一个 iPad");
}else{
System.out.println("继续努力,什么奖励也没有");
}
}
}
第3题:三个数排序
- 编写程序:由键盘输入三个整数分别存入变量num1、num2、num3,对它们进行排序(使用 if-else if-else),并且从小到大输出
- 答案
// 第一种方法
public class TestExer3{
public static void main(String[] args){
//1、键盘输入三个整数
java.util.Scanner input = new java.util.Scanner(System.in);
System.out.print("请输入num1:");
int num1 = input.nextInt();
System.out.print("请输入num2:");
int num2 = input.nextInt();
System.out.print("请输入num3:");
int num3 = input.nextInt();
//2、判断
/*
三个数排序,6种情况
num1 <= num2 <= num3
num1 <= num3 <= num2
num2 <= num1 <= num3
num2 <= num3 <= num1
num3 <= num2 <= num1
num3 <= num1 <= num2
*/
if(num1<=num2 && num2<=num3){
System.out.println(num1 + "<=" + num2 + "<=" + num3);
}else if(num1<=num3 && num3<=num2){
System.out.println(num1 + "<=" + num3 + "<=" + num2);
}else if(num2<=num1 && num1<=num3){
System.out.println(num2 + "<=" + num1 + "<=" + num3);
}else if(num2<=num3 && num3<=num1){
System.out.println(num2 + "<=" + num3 + "<=" + num1);
}else if(num3<=num2 && num2<=num1){
System.out.println(num3 + "<=" + num2 + "<=" + num1);
}else{
System.out.println(num3 + "<=" + num1 + "<=" + num2);
}
}
}
// 第二种方法
public class TestExer3{
public static void main(String[] args){
//1、键盘输入三个整数
java.util.Scanner input = new java.util.Scanner(System.in);
System.out.print("请输入num1:");
int num1 = input.nextInt();
System.out.print("请输入num2:");
int num2 = input.nextInt();
System.out.print("请输入num3:");
int num3 = input.nextInt();
//嵌套
if(num1 <= num2){
if(num2 <= num3){ //num1 <= num2 && num2 <= num3
System.out.println(num1 + "<=" + num2 + "<=" + num3);
}else{
if(num1 <= num3){ //num1<=num2 && num3<num2 && num1<=num3
System.out.println(num1 + "<=" + num3 + "<=" + num2);
}else{
//num1<=num2 && num3<num2 && num3<num1
System.out.println(num3 + "<=" + num1 + "<=" + num2);
}
}
}else{
if(num3 >= num1){//num1 > num2 && num3 >= num1 //num3 >= num1 > num2
System.out.println(num2 + "<=" + num1 + "<=" + num3);
}else{
if(num2 <= num3){//num1 > num2 && num1 > num3 && num2 <= num3
System.out.println(num2 + "<=" + num3 + "<=" + num1);
}else{
//num1 > num2 && num1 > num3 && num3<num2
System.out.println(num3 + "<=" + num2 + "<=" + num1);
}
}
}
}
}
// 第三种方法
/*
3、编写程序:由键盘输入三个整数分别存入变量num1、num2、num3,
对它们进行排序(使用 if-else if-else),并且从小到大输出。
*/
class Test07Exer3_2{
public static void main(String[] args){
//由键盘输入三个整数分别存入变量num1、num2、num3
java.util.Scanner input = new java.util.Scanner(System.in);
System.out.println("请连续输入要排序的三个整数:");
int num1 = input.nextInt();
int num2 = input.nextInt();
int num3 = input.nextInt();
System.out.println("三个整数原来的顺序:" + num1 + "," + num2 + "," + num3);
//排序
//方式二:交换法
//最后想要输出的是num1 <= num2 <= num3
//如果num1 > num2,交换num1和num2变量的值
if(num1 > num2){
int temp = num1;//将num1的值备份到temp中
num1 = num2; //把num2的值放到num1中
num2 = temp;//将之前备份的num1的值放到num2中
}
//代码运行到这里 num1 <= num2
//如果num2 > num3,交换num2和num3变量的值
if(num2 > num3){
int temp = num2;
num2 = num3;
num3 = temp;
}
//代码运行到这里 num2 <= num3
/*
num1 = 3;
num2 = 2
num3 = 1;
经过第一个if(num1 > num2)判断
num1 = 2
num2 = 3
num3 = 1
经过第一个if(num2 > num3)判断
num1 = 2
num2 = 1
num3 = 3
*/
//因为经过第二个if(num2 > num3)判断之后,num2的值可能被改变了,重新判断num1和num2
if(num1 > num2){
int temp = num1;//将num1的值备份到temp中
num1 = num2; //把num2的值放到num1中
num2 = temp;//将之前备份的num1的值放到num2中
}
System.out.println("三个整数排序后:" + num1 + "," + num2 + "," + num3);
}
}
第4题:相亲
- 大家都知道,男大当婚,女大当嫁。那么女方家长要嫁女儿,当然要提出一定的条件:高:180cm以上;富:财富1千万以上;帅:是。
如果这三个条件同时满足,则:“我一定要嫁给他!!!”
如果三个条件中有为真的情况,则:“嫁吧,比上不足,比下有余。”
如果三个条件都不满足,则:“不嫁!”
提示:从键盘输入
Scanner input=new Scanner(System.in);
System.out.println(“身高:(cm)”);
input.nextInt();
System.out.println(“财富:(千万)”);
input.nextDouble();
System.out.println(“帅否:(true/false)”); (是/否)
input.nextBoolean(); 或者 input.next(); “是”.equals(str) - 答案
// 第一种方法
public class TestExer4{
public static void main(String[] args){
//1、输入男方的条件
java.util.Scanner input = new java.util.Scanner(System.in);
System.out.print("请输入身高(单位:cm):");
int height = input.nextInt();
System.out.print("请输入财富(单位:千万):");
double money = input.nextDouble();
System.out.print("请输入是否帅(true/false):");
boolean handsom = input.nextBoolean();
//2、判断
/*
高:180cm以上;富:财富1千万以上;帅:是。
如果这三个条件同时满足,则:“我一定要嫁给他!!!”
如果三个条件中有为真的情况,则:“嫁吧,比上不足,比下有余。”
如果三个条件都不满足,则:“不嫁!”
*/
//if(height>=180 && money>=1 && handsom==true){
if(height>=180 && money>=1 && handsom){
System.out.println("我一定要嫁给他!!!");
}else if(height>=180 || money>=1 || handsom){
System.out.println("嫁吧,比上不足,比下有余。");
}else{
System.out.println("不嫁!");
}
}
}
// 第二种方法
public class TestExer4_2{
public static void main(String[] args){
//1、输入男方的条件
java.util.Scanner input = new java.util.Scanner(System.in);
System.out.print("请输入身高(单位:cm):");
int height = input.nextInt();
System.out.print("请输入财富(单位:千万):");
double money = input.nextDouble();
System.out.print("请输入是否帅(是/否):");
char handsom = input.next().charAt(0);
//2、判断
/*
高:180cm以上;富:财富1千万以上;帅:是。
如果这三个条件同时满足,则:“我一定要嫁给他!!!”
如果三个条件中有为真的情况,则:“嫁吧,比上不足,比下有余。”
如果三个条件都不满足,则:“不嫁!”
*/
if(height>=180 && money>=1 && handsom=='是'){
System.out.println("我一定要嫁给他!!!");
}else if(height>=180 || money>=1 || handsom=='是'){
System.out.println("嫁吧,比上不足,比下有余。");
}else{
System.out.println("不嫁!");
}
}
}
// 第三种方法
public class TestExer4_3{
public static void main(String[] args){
//1、输入男方的条件
java.util.Scanner input = new java.util.Scanner(System.in);
System.out.print("请输入身高(单位:cm):");
int height = input.nextInt();
System.out.print("请输入财富(单位:千万):");
double money = input.nextDouble();
System.out.print("请输入是否帅(帅/不帅):");
String handsom = input.next();
//2、判断
/*
高:180cm以上;富:财富1千万以上;帅:是。
如果这三个条件同时满足,则:“我一定要嫁给他!!!”
如果三个条件中有为真的情况,则:“嫁吧,比上不足,比下有余。”
如果三个条件都不满足,则:“不嫁!”
handsom=="帅" 是不对的
"帅".equals(handsom) 是可以的,String对象的比较
*/
if(height>=180 && money>=1 && "帅".equals(handsom)){
System.out.println("我一定要嫁给他!!!");
}else if(height>=180 || money>=1 || "帅".equals(handsom)){
System.out.println("嫁吧,比上不足,比下有余。");
}else{
System.out.println("不嫁!");
}
}
}
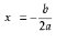
第5题:解方程
-
求ax2+bx+c=0方程的根。a,b,c分别为函数的参数,
如果a≠0,那么:
(1)当b2-4ac>0,则有两个解;
![在这里插入图片描述]()
(2)当b2-4ac=0,则有一个解;
![在这里插入图片描述]()
(3)当b2-4ac<0,则无解;
如果a=0,b≠0,那么,
![在这里插入图片描述]()
提示1:Math.sqrt(num); sqrt指平方根
例如:
求x2-4x+1=0方程的根
求x2-2x+1=0方程的根 -
答案
public class TestExer5{
public static void main(String[] args){
//(1)先输入a,b,c三个函数的参数
java.util.Scanner input = new java.util.Scanner(System.in);
System.out.println("请输入方程:ax的平方 + bx + c = 0的三个参数:");
System.out.print("a:");
double a = input.nextDouble();
System.out.print("b:");
double b = input.nextDouble();
System.out.print("c:");
double c = input.nextDouble();
//(2)根据参数的不同,求方程的根/解
if(a!=0){
double d = b*b - 4*a*c;
if(d>0){
double x1 = (-b + Math.sqrt(d))/(2*a);
double x2 = (-b - Math.sqrt(d))/(2*a);
System.out.println("一元二次方程有两个根:" + x1 + "," +x2);
}else if(d==0){
double x = -b/(2*a);
System.out.println("一元二次方程有1个根:"+ x);
}else{//d<0
System.out.println("一元二次方程在实数范围内无解");
}
}else{//a==0
if(b!=0){
double x = -c/b;
System.out.println("一元一次方程的根:" + x);
}else{
System.out.println("输入有误,a,b,c不能构成一个方程");
}
}
}
}
第6题:彩票
- 假设你想开发一个玩彩票的游戏,程序随机地产生一个两位数的彩票,提示用户输入一个两位数,然后按照下面的规则判定用户是否能赢。
1)如果用户输入的数匹配彩票的实际顺序,奖金10 000美元。
2)如果用户输入的所有数字匹配彩票的所有数字,但顺序不一致,奖金 3 000美元。
3)如果用户输入的一个数字仅满足顺序情况下匹配彩票的一个数字,奖金1 000美元。
4)如果用户输入的一个数字仅满足非顺序情况下匹配彩票的一个数字,奖金500美元。
5)如果用户输入的数字没有匹配任何一个数字,则彩票作废。
提示:使用Math.random() 产生随机数
Math.random() 产生[0,1)范围的随机值
Math.random() * 90:[0,90)
Math.random() * 90 + 10:[10,100) 即得到 [10,99]
使用(int)(Math.random() * 90 + 10)产生一个两位数的随机数
- 答案
//第一种方法
public class TestExer6{
public static void main(String[] args){
//1、随机地产生一个两位数的彩票
int rand = (int)(Math.random() * 90 + 10);//[10,99]
//2、提示用户输入一个两位数
java.util.Scanner input = new java.util.Scanner(System.in);
System.out.print("请输入两位数的彩票号码:");
int num = input.nextInt();
//3、处理数字
int randShi = rand/10;
int randGe = rand%10;
int numShi = num/10;
int numGe = num%10;
//4、判断
if(num == rand){
System.out.println("奖金10 000美元");
}else if(randShi == numGe && randGe == numShi){
System.out.println("奖金3 000美元");
}else if(randShi == numShi || randGe == numGe){
System.out.println("奖金1 000美元");
}else if(randShi == numGe || randGe == numShi){
System.out.println("奖金500美元");
}else{
System.out.println("彩票作废");
}
System.out.println("本次号码:" + rand);
}
}
// 第二种方法
class Test11Exer6_2{
public static void main(String[] args){
//随机地产生一个两位数:[10,99]
//个位数的范围:[0,9] (int)(Math.random() * 10)==》[0,10)
//十位数的范围:[1,9] (int)(Math.random() * 9 +1)==》[0,9)+1==>[1,10)
int randGe = (int)(Math.random() * 10);
int randShi = (int)(Math.random() * 9 +1);
System.out.println("randGe = " + randGe);
System.out.println("randShi = " + randShi);
java.util.Scanner input = new java.util.Scanner(System.in);
System.out.print("请输入一个两位数的个位数:");
int numGe = input.nextInt();
System.out.print("请输入一个两位数的十位数:");
int numShi = input.nextInt();
if(numGe == randGe && numShi == randShi){
System.out.println("奖金10 000美元");
}else if(numGe == randShi && numShi == randGe){
System.out.println("奖金 3 000美元");
}else if(numGe == randGe || numShi == randShi){
System.out.println("奖金 1 000美元");
}else if(numGe == randShi || numShi == randGe){
System.out.println("奖金 500美元");
}else{
System.out.println("谢谢惠顾");
}
}
}
第7题:押豹子
-
赌数游戏:随机产生3个1-6的整数,如果三个数相等,那么称为“豹子”,如果三个数之和大于9,称为“大”,如果三个数之和小于等于9,称为“小”,用户从键盘输入押的是“豹子”、“大”、“小”,并判断是否猜对了
提示:随机数 Math.random()产生 [0,1)范围内的小数
-
答案
//第一种方法
public class TestExer7{
public static void main(String[] args){
//1、随机产生3个1-6的整数
int a = (int)(Math.random()*6 + 1);
int b = (int)(Math.random()*6 + 1);
int c = (int)(Math.random()*6 + 1);
//2、判断随机产生的数的结果是什么
String result;
if(a == b && b == c){
result = "豹子";
}else if(a + b + c > 9){
result = "大";
}else{
result = "小";
}
//3、用户从键盘输入押的是“豹子”、“大”、“小”
java.util.Scanner input = new java.util.Scanner(System.in);
System.out.print("请押宝(豹子、大、小):");
String ya = input.next();
//4、判断用户的输入是否猜对了
//比较ya与result是否相同
//if(result==ya){
if(result.equals(ya)){
System.out.println("猜对了");
}else{
System.out.println("猜错了");
}
System.out.println("本期号码:");
System.out.println("a="+a);
System.out.println("b="+b);
System.out.println("c="+c);
}
}
// 第二种方法
public class TestExer7_2{
public static void main(String[] args){
//1、随机产生3个1-6的整数
int a = (int)(Math.random()*6 + 1);
int b = (int)(Math.random()*6 + 1);
int c = (int)(Math.random()*6 + 1);
//2、判断随机产生的数的结果是什么
int result;
if(a == b && b == c){
result = 1;//假设豹子为1
}else if(a + b + c > 9){
result = 2;//假设大为2
}else{
result = 3;//假设小为3
}
//3、用户从键盘输入押的是“豹子”、“大”、“小”
java.util.Scanner input = new java.util.Scanner(System.in);
System.out.println("1、豹子");
System.out.println("2、大");
System.out.println("3、小");
System.out.print("请选择:");
int ya = input.nextInt();
//4、判断用户的输入是否猜对了
//比较ya与result是否相同
if(result==ya){
System.out.println("猜对了");
}else{
System.out.println("猜错了");
}
System.out.println("本期号码是:" + a + "," + b + "," + c);
}
}
第8题:转大写数字
- 使用 switch 把阿拉伯数字转为“壹、贰、叁、肆、伍、陆、柒、捌、玖”;其它的都输出 “other”。
- 答案
public class TestExer8{
public static void main(String[] args){
//1、输入0-9的数字
java.util.Scanner input = new java.util.Scanner(System.in);
System.out.print("请输入0-9的数字:");
int num = input.nextInt();
//2、转为中文大写数字
switch(num){
case 0:
System.out.println("零");
break;
case 1:
System.out.println("壹");
break;
case 2:
System.out.println("贰");
break;
case 3:
System.out.println("叁");
break;
case 4:
System.out.println("肆");
break;
case 5:
System.out.println("伍");
break;
case 6:
System.out.println("陆");
break;
case 7:
System.out.println("柒");
break;
case 8:
System.out.println("捌");
break;
case 9:
System.out.println("玖");
break;
default:
System.out.println("other");
}
}
}
第9题:月份季节
- 根据用于指定月份,打印该月份所属的季节。
3,4,5 春季 6,7,8 夏季 9,10,11 秋季 12, 1, 2 冬季 - 答案
public class TestExer9{
public static void main(String[] args){
//1、输入月份
java.util.Scanner input = new java.util.Scanner(System.in);
System.out.print("请输入月份:");
int month = input.nextInt();
switch(month){
case 3:
case 4:
case 5:
System.out.println("春季");
break;
case 6:
case 7:
case 8:
System.out.println("夏季");
break;
case 9:
case 10:
case 11:
System.out.println("秋季");
break;
case 12:
case 1:
case 2:
System.out.println("冬季");
break;
default:
System.out.println("输入有误!");
}
}
}
第10题:星期单词
- 编写程序,从键盘接收整数参数.如果该数为1-7,打印对应的星期值,否则打印“非法参数”。
- 答案
public class TestExer10{
public static void main(String[] args){
/*
请输入星期的数字,输出对应的英语单词
*/
java.util.Scanner input = new java.util.Scanner(System.in);
System.out.print("请输入星期(1-7):");
int week = input.nextInt();
switch(week){
default:
System.out.println("输入有误,非法参数");
break;
case 1:
System.out.println("Monday");
break;
case 2:
System.out.println("Tuesday");
break;
case 3:
System.out.println("Wednesday");
break;
case 4:
System.out.println("Thursday");
break;
case 5:
System.out.println("Friday");
break;
case 6:
System.out.println("Saturday");
break;
case 7:
System.out.println("Sunday");
break;
}
}
}
第11题:这一天是当年的第几天
-
从键盘分别输入年、月、日,判断这一天是当年的第几天 。先不考虑非法值输入
注:判断一年是否是闰年的标准:
1)可以被4整除,但不可被100整除
2)可以被400整除 -
答案
public class TestExer11{
public static void main(String[] args){
//1、从键盘分别输入年、月、日
java.util.Scanner input = new java.util.Scanner(System.in);
System.out.print("年:");
int year = input.nextInt();
System.out.print("月:");
int month = input.nextInt();
System.out.print("日:");
int day = input.nextInt();
//判断这一天是当年的第几天==>从1月1日开始,累加到xx月xx日这一天
//(1)[1,month-1]个月满月天数
//(2)第month个月的day天
//(3)单独考虑2月份是否是29天(依据是看year是否是闰年)
//2、声明一个变量days,用来存储总天数,直接初始化为day,这样就不用再加day天了
int days = day;
//3、累加[1,month-1]个月满月天数
switch(month){
case 12:
//累加的1-11月
days += 30;//这个30是代表11月份的满月天数
//这里没有break,继续往下走
case 11:
//累加的1-10月
days += 31;//这个31是代表10月的满月天数
//这里没有break,继续往下走
case 10:
days += 30;//9月
case 9:
days += 31;//8月
case 8:
days += 31;//7月
case 7:
days += 30;//6月
case 6:
days += 31;//5月
case 5:
days += 30;//4月
case 4:
days += 31;//3月
case 3:
days += 28;//2月
//4、在这里考虑是否可能是29天
if(year%4==0 && year%100!=0 || year%400==0){
days++;//多加1天
}
case 2:
days += 31;//1月
}
//5、输出结果
System.out.println(year + "年" + month + "月" + day + "日是这一年的第" + days + "天");
}
}
第12题:生肖
- 编写一个程序,为一个给定的年份找出其对应的中国生肖。中国的生肖基于12年一个周期,每年用一个动物代表:rat(鼠)、ox(牛)、tiger(虎)、rabbit(兔)、dragon(龙)、snake(蛇)、horse(马)、sheep(羊)、monkey(候)、rooster(鸡)、dog(狗)、pig(猪)。
提示:2017年:鸡 2017 % 12 == 1
![在这里插入图片描述]()
- 答案
public class TestExer12{
public static void main(String[] args){
//从键盘输入一个年份
java.util.Scanner input = new java.util.Scanner(System.in);
System.out.print("请输入年份:");
int year = input.nextInt();
//判断
switch(year%12){
case 1:
System.out.println(year + "是鸡年");
break;
case 2:
System.out.println(year + "是狗年");
break;
case 3:
System.out.println(year + "是猪年");
break;
case 4:
System.out.println(year + "是鼠年");
break;
case 5:
System.out.println(year + "是牛年");
break;
case 6:
System.out.println(year + "是虎年");
break;
case 7:
System.out.println(year + "是兔年");
break;
case 8:
System.out.println(year + "是龙年");
break;
case 9:
System.out.println(year + "是蛇年");
break;
case 10:
System.out.println(year + "是马年");
break;
case 11:
System.out.println(year + "是羊年");
break;
case 0:
System.out.println(year + "是猴年");
break;
default:
System.out.println(year + "输入错误");
}
}
}
第13题:累加和
- 求1-100的和
- 答案
// 第一种方法
public static void main(String[] args){
int sum = 0;//别忘了初始值
//求1-100的累加和
for(int i=1; i<=100; i++){
sum += i;
}
//显示最终结果
System.out.println("1-100的和是:" + sum);
}
// 第二种方法
public static void main(String[] args) {
int i=1;
int sum = 0;
while(i<=100){
sum +=i;
i++;
}
System.out.println("1-100的和为:"+sum);
}
第14题:1-100偶数
- 打印1-100的偶数
- 答案
//第一种方法
public static void main(String[] args){
System.out.println("1-100的偶数有:");
for(int i=2; i<=100; i=i+2){
System.out.println(i);
}
}
//第二种方法
public static void main(String[] args){
System.out.println("1-100的偶数有:");
for(int i=1; i<=100; i++){
//如果i是偶数就打印它
if(i % 2 == 0){//条件判断了100次,只有50次满足条件
System.out.println(i);
}
}
}
第15题:正负数个数
- 从键盘输入整数,输入0结束,统计输入的正数、负数的个数
- 答案
//第一种方法
public static void main(String[] args) {
java.util.Scanner input = new java.util.Scanner(System.in);
int positive = 0;
int negative = 0;
int num;
do{
System.out.print("请输入整数(0)结束:");
num = input.nextInt();
if(num>0){
positive++;
}else if(num<0){
negative++;
}
}while(num!=0);
System.out.println("正数:" + positive + ",负数:" + negative);
}
//第二种方法
public static void main(String[] args) {
java.util.Scanner input = new java.util.Scanner(System.in);
int positive = 0;
int negative = 0;
while(true){
System.out.print("请输入整数(0)结束:");
int num = input.nextInt();
if(num==0){
break;
}else if(num>0){
positive++;
}else{
negative++;
}
}
System.out.println("正数:" + positive + ",负数:" + negative);
}
第16题:猜数
- 随机生成一个100以内的正整数,猜数字游戏
从键盘输入数,如果大了提示,大了,如果小了,提示小了,如果对了,就不再猜了,并统计一共猜了多少次
提示:随机数
(1)Math.random()
double num = Math.random();// [0,1)的小数
(2)java.util.Random rand = new java.util.Random();
int num= rand.nextInt(100);//[0,100)的整数 - 答案
//第一种方法
public static void main(String[] args){
//随机生成一个100以内的整数,[0,100)
int randNum = (int)(Math.random()*100);
//从键盘输入数,如果大了提示,大了,如果小了,提示小了,如果对了,就不再猜了,
java.util.Scanner input = new java.util.Scanner(System.in);
int num;//挪到do{}上面,提升作用域
int count = 0;//统计次数
do{
System.out.print("猜数(范围[0,100):");
num = input.nextInt();
count++;//输入一次,就代表猜一次
if(num > randNum){
System.out.println("大了");
}else if(num<randNum){
System.out.println("小了");
}
}while(num!=randNum);//条件成立,重复执行循环体语句
System.out.println("一共猜了:" + count + "次");
}
// 第二种方法
public static void main(String[] args){
//随机生成一个100以内的整数,[0,100)
java.util.Random rand = new java.util.Random();
int randNum = rand.nextInt(100);
//从键盘输入数,如果大了提示,大了,如果小了,提示小了,如果对了,就不再猜了,
java.util.Scanner input = new java.util.Scanner(System.in);
int num;//挪到do{}上面,提升作用域
int count = 0;//统计次数
do{
System.out.print("猜数(范围[0,100):");
num = input.nextInt();
count++;//输入一次,就代表猜一次
if(num > randNum){
System.out.println("大了");
}else if(num<randNum){
System.out.println("小了");
}
}while(num!=randNum);//条件成立,重复执行循环体语句
System.out.println("一共猜了:" + count + "次");
}
第17题:水仙花数
- 输出所有的水仙花数,所谓水仙花数是指一个3位数,其各个位上数字立方和等于其本身。例如: 153 =
1*1*1 + 5*5*5 + 3*3*3 - 答案
//第一种方法
/*
* 练习:打印所有的水仙花数
*
* 分析:
* 什么是水仙花数呢?
* 所谓的水仙花数是指一个三位数,其各位数字的立方和等于该数本身。
* 举例:153就是一个水仙花数。
* 153 = 1*1*1 + 5*5*5 + 3*3*3
*
* 1.三位数其实就告诉了我们水仙花数的范围
* 100-999
* 2.如何获取一个数据的每一个位上的数呢?
* 举例:我有一个数据153,请问如何获取到个位,十位,百位
* 个位:153%10 = 3;
* 十位:153/10%10 = 5;
* 百位:153/10/10%10 = 1;
* 千位:...
* 万位:...
* 3.让每个位上的立方和相加,并和该数据进行比较,如果相等,就说明该数据是水仙花数,在控制台输出
*/
public class ForTest04 {
public static void main(String[] args) {
//通过循环获取到每一个三位数
for(int x=100; x<1000; x++) {
//获取个位,十位,百位
int ge = x%10;
int shi = x/10%10;
int bai = x/10/10%10;
//让每个位上的立方和相加,并和该数据进行比较,如果相等,就说明该数据是水仙花数,在控制台输出
if((ge*ge*ge+shi*shi*shi+bai*bai*bai) == x) {
System.out.println(x);
}
}
}
}
//第二种方法
/*
* 练习:打印所有的水仙花数共有多少个
*
* 分析:
* 1.定义统计变量,初始化值是0
* 2.获取三位数,用for循环实现
* 3.获取三位数的个位,十位,百位
* 4.判断这个三位数是否是水仙花数,如果是,统计变量++
* 5.输出统计结果就可以了
*/
public class ForTest5 {
public static void main(String[] args) {
//定义统计变量,初始化值是0
int count = 0;
//获取三位数,用for循环实现
for(int x=100; x<1000; x++) {
//获取三位数的个位,十位,百位
int ge = x%10;
int shi = x/10%10;
int bai = x/10/10%10;
//判断这个三位数是否是水仙花数,如果是,统计变量++
if((ge*ge*ge+shi*shi*shi+bai*bai*bai) == x) {
count++;
}
}
//输出统计结果就可以了
System.out.println("水仙花数共有:"+count+"个");
}
}
第18题:foobizbaz
- 从1循环到150并在每行打印一个值,
另外在每个3的倍数行上打印出“foo”,
在每个5的倍数行上打印“biz”,
在每个7的倍数行上打印输出“baz”
![在这里插入图片描述]()
- 答案
public static void main(String[] args){
//从1循环到150
for(int i=1; i<=150; i++){
//在每行打印一个i的值
//System.out.println(i);//输出i之后,立刻换行
System.out.print(i);//只打印i的值
//每个3的倍数行上打印出“foo”
if(i%3==0){
//System.out.println("foo");//输出foo后立刻换行
System.out.print("\tfoo");//这里加\t是为了好看
}
//在每个5的倍数行上打印“biz”
if(i%5==0){
System.out.print("\tbiz");
}
//在每个7的倍数行上打印输出“baz”
if(i%7==0){
System.out.print("\tbaz");
}
//最后把这一行的事全部完成后,再换行
//System.out.print("\n");
System.out.println();//只打印换行
}
}
第19题:最大公约数和最小公倍数
- 输入两个正整数m和n,求其最大公约数和最小公倍数
- 答案
public static void main(String[] args){
//输入两个正整数m和n
java.util.Scanner input = new java.util.Scanner(System.in);
int m;
while(true){
System.out.print("请输入第一个正整数m的值:");
m = input.nextInt();
if(m<=0){
System.out.println(m + "不是正整数,请重写输入!");
}else{
break;
}
}
int n;
while(true){
System.out.print("请输入第一个正整数n的值:");
n = input.nextInt();
if(n<=0){
System.out.println(n + "不是正整数,请重写输入!");
}else{
break;
}
}
System.out.println("两个正整数:" + m + "," + n);
//求m和n的最大公约数和最小公倍数
/*
1、概念
公约数:能够把m和n都整除,就是它俩的公约数
例如:6和9,公约数:1,3
9和18,公约数:1,3,9
5和13,公约数:1
公倍数:能够被m和n都整除的,就是它俩的公倍数
例如:6和9,公倍数:18,36....
9和18,公倍数:18,36...
5和13,公倍数:65,....
2、如何找最大公约数
例如:6和9
从6开始,9%6==0? 6%6==0?
9%5==0? 6%5==0?
9%4==0? 6%4==0?
9%3==0? 6%3==0? binggou找到了 结束查找
例如:9和18
从9开始 9%9==0? 18%9==0? binggou找到了 结束查找
例如:5和13
从5开始 5%5==? 13%5==0?
5%4==? 13%4==0?
5%3==? 13%3==0?
5%2==? 13%2==0?
5%1==? 13%1==0? binggou找到了 结束查找
其实只要找到5的平方根就可以了
*/
//第一步:找出m和n中最大值和最小值
int max = m>=n ? m : n;
int min = m<n ? m : n;
//第二步:从小的开始查找
//这里的1也可以修改为min的平方根
int maxYue = 1;
for(int i=min; i>=1; i--){
//看i是否能够同时把m和n都整除
if(m%i==0 && n%i==0){
maxYue = i;
break;
}
}
System.out.println(maxYue +"是" + m + "和" + n + "的最大公约数");
//最小公倍数 = m*n / 最大公约数
//System.out.println(m*n/maxYue +"是" + m + "和" + n + "的最小公倍数");
//如果不知道这个公式
//从max开始找,一直找到m*n
for(int i=max; i<=m*n; i++){
if(i%m==0 && i%n==0){
System.out.println(i +"是" + m + "和" + n + "的最小公倍数");
break;
}
}
}
第20题:3、5、7的倍数不打印
- 打印1-100之间数,其中3、5、7的倍数不打印
- 答案
class Test13_Exer8{
public static void main(String[] args){
/*
不使用continue
*/
for(int i=1; i<=100; i++){
//其中3、5、7的倍数不打印
//如果这个数不是3,5,7的倍数就打印
if(i%3!=0 && i%5!=0 && i%7!=0){
System.out.println(i);
}
}
System.out.println("-----------------------");
/*
使用continue
*/
for(int i=1; i<=100; i++){
//其中3、5、7的倍数不打印
//如果是3,5,7的倍数就跳过打印语句
if(i%3==0 || i%5==0 || i%7==0){
continue;
}
System.out.println(i);
}
}
}
第21题:完数
- 一个数如果恰好等于它的因子之和,这个数就称为"完数"。(因子:除去这个数本身的约数)
例如6=1+2+3.编程 找出1000以内的所有完数 - 答案
public static void main(String[] args){
//找出1000以内的所有完数
for(int i=1; i<1000; i++){
//判断i是否是完数,如果是就打印i
/*
完数?
一个数如果恰好等于它的因子之和
例如:6的因子:1,2,3
1,2,3,6是6的约数,能够把6给整除了
因子:除了6本身以外的约数
例如:18的因子:1,2,3,6,9 不是完数
如何判断i是否是完数?
(1)先找出i的所有的因子,并且累加它的所有的因子
(2)判断因子之和与i是否相等,如果相等就是完数
*/
//(1)先找出i的所有的因子,并且累加它的所有的因子
int iSum = 0;
for(int j=1; j<i; j++){
//如果j能够把i整除了,j就是i的因子
if(i%j==0){
iSum += j;
}
}
//(2)判断因子之和与i是否相等,如果相等就是完数
if(i == iSum){
System.out.println(i);
}
}
}
第22题:九九乘法表
- 打印正的九九乘法表
![在这里插入图片描述]()
- 答案
public static void main(String[] args) {
for(int i =1;i<=9;i++){
for(int j=1;j<=i;j++){
System.out.print(j+"*"+i+"="+(i*j) + "\t");
}
System.out.println();
}
}
- 打印倒的九九乘法表
- 答案
public static void main(String[] args) {
for(int i=1; i<=9; i++){
/*
每一行有三件事情:(1)打印n个\t(2)打印m个式子(3)换行
*/
//(1)打印n个\t
/*
当i=1,第1行,8个\t,j=1,2,3,4,5,6,7,8 j<=8 j<=9-i
当i=2,第2行,7个\t,j=1,2,3,4,5,6,7 j<=7
当i=3,第3行,6个\t,j=1,2,3,4,5,6
。。。
当i=8,第8行,1个\t,j=1,
当i=9,第9行,0个\t,j=1,j<=0不满足一次也不执行 j<=9-i j<=9-9
*/
for(int j=1; j<=9-i; j++){
System.out.print("\t");
}
//(2)打印m个式子
/*
当i=1,第1行,1个式子, k=1 k<=i
当i=2,第2行,2个式子, k=1,2
..
当i=9,第9行,9个式子, k=1,2,3,4,5,6,7,8,9
*/
for(int k=1; k<=i; k++){
System.out.print(i + "*" + k + "=" + i*k + "\t");
}
//换行
System.out.println();
}
}
第23题:菱形
- 打印出如下图形
![在这里插入图片描述]()
- 答案
//第一种方法
public static void main(String[] args){
//上半部分:正的等腰三角形
//5行
for(int i=1; i<=5; i++){
//(1)打印空格
/*
当i=1,打印4个空格,j=4,3,2,1 j>=i
当i=2,打印3个空格,j=4,3,2
当i=3,打印2个空格,j=4,3
当i=4,打印1个空格,j=4
当i=5,打印0个空格,j=4,让循环条件一次都不满足
*/
for(int j=4; j>=i; j--){
System.out.print(" ");
}
//(2)打印*
/*
当i=1,打印1个,j=1 j<=2*i-1
当i=2,打印3个,j=1,2,3,
当i=3,打印5个,j=1,2,3,4,5
当i=4,打印7个,j=1,2,3,4,5,6,7
当i=5,打印9个,j=1,2,3,4,5,6,7,8,9
*/
for(int j=1; j<=2*i-1; j++){
System.out.print("* ");
}
//(3)换行
System.out.println();
}
//下半部分:倒立的等腰三角形
//4行
for(int i=1; i<=4; i++){
//(1)打印空格
/*
当i=1,1个空格,j=1 j<=i
当i=2,2个空格,j=1,2
当i=3,3个空格,j=1,2,3
当i=4,4个空格,j=1,2,3,4
*/
for(int j=1; j<=i; j++){
System.out.print(" ");
}
//(2)打印*
/*
当i=1,7个*,j=1,2,3,4,5,6,7 j<=9-2*i;
当i=2,5个*,j=1,2,3,4,5
当i=3,3个*,j=1,2,3
当i=4,1个*,j=1
*/
for(int j=1; j<=9-2*i; j++){
System.out.print("* ");
}
//(3)换行
System.out.println();
}
}
//第二种方法
public static void main(String[] args){
int lines = 15;//行数必须是奇数,>=3
//上半部分
int shang = lines/2+1;
for(int i=1; i<=shang; i++){
//每一行三件事:(1)空格(2)*(3)换行
//(1)空格
/*
i=1,4个,shang-1个 j=1,2,3,..shang-1
i=2,3个,shang-2个
i=3,2个,shang-3个
i=4,1个,shang-4个
i=5,0个,shang-5个
...
第i行,j=1,2,3,..shang-i
*/
for(int j=1; j<=shang-i; j++){
System.out.print(" ");
}
//(2)*号
/*
i=1,1个*
i=2,3个*
...
第i行,2*i-1个*
*/
for(int j=1; j<=2*i-1; j++){
System.out.print("*");
}
System.out.println();
}
//下半部分
int xia = lines/2;
for(int i=1; i<=xia; i++){
//每一行三件事:(1)空格(2)*(3)换行
//(1)空格
/*
i=1,1个空格
i=2,2个空格
...
第i行,i个空格
*/
for(int j=1; j<=i; j++){
System.out.print(" ");
}
//(2)*号
/*
本图为例
i=1; 7个
i=2; 5个
i=3; 3个
i=4; 1个
第i行, 9-2*i ->lines-2*i
*/
for(int j=1; j<=lines-2*i; j++){
System.out.print("*");
}
System.out.println();
}
}
第24题:素数
- 找出1-100之间所有的素数(质数)
- 答案
//第一种方法
public static void main(String[] args){
//找出1-100之间所有的素数(质数)
//1-100之间
for(int i=1; i<=100; i++){
//里面的代码会运行100遍
//每一遍i的值是不同的,i=1,2,3,4,5...100
//每一遍都要判断i是否是素数,如果是,就打印i
/*
如何判断i是否是素数
(1)找出i的所有的约数,并累加它们的和
例如:
i=5,它的约数有1和5,约数和:6
i=11,它的约数有1和11,约数和:12
i=18,它的约数有1,2,3,6,9,18,约数和:39
(2)如果某个i的约数和 == i+1,那么i就是素数
*/
//(1)找出i的所有的约数,并累加它们的和
int iSum = 0;
for(int j=1; j<=i; j++){
if(i%j==0){
//j是i的约数
iSum += j;
}
}
//(2)如果某个i的约数和 == i+1,那么i就是素数
if(iSum == i+1){
System.out.println(i);
}
}
}
//第二种方法
public static void main(String[] args){
//找出1-100之间所有的素数(质数)
//1-100之间
for(int i=1; i<=100; i++){
//里面的代码会运行100遍
//每一遍i的值是不同的,i=1,2,3,4,5...100
//每一遍都要判断i是否是素数,如果是,就打印i
/*
如何判断i是否是素数
(1)找出i在[2,i-1]之间的约数的个数
(2)如果这个个数是0,那么i就是素数
*/
int iCount = 0;
for(int j=2; j<i; j++){
if(i%j==0){//j是i在[2,i-1]之间的约数
iCount++;
}
}
//(2)如果这个个数是0,那么i就是素数
if(iCount == 0){
System.out.println(i);
}
}
}
Java数组相关题集
第1题 码农找室友
- 升景坊单间短期出租4个月,550元/月(水电煤公摊,网费35元/月),空调、卫生间、厨房齐全。屋内均是IT行业人士,喜欢安静。所以要求来租者最好是同行或者刚毕业的年轻人,爱干净、安静。手机号码如下:
![在这里插入图片描述]()
- 答案
public static void main(String[] args) {
int[] arr = new int[] { 8, 2, 1, 0, 3 };
int[] index = new int[] { 2, 0, 3, 2, 4, 0, 1, 3, 2, 3, 3 };
String tel = "";
for (int i = 0; i < index.length; i++) {
tel += arr[index[i]];
}
System.out.println("联系方式:" + tel);
}
// 最终,他的电话号码是:18013820100
第2题 竞赛打分
(1)在编程竞赛中,有10位评委为参赛的选手打分,分数分别为:5,4,6,8,9,0,1,2,7,3
(2)求选手的最后得分(去掉一个最高分和一个最低分后其余8位评委打分的平均值)
- 答案
public static void main(String[] args){
int[] scores = {5,4,6,8,9,0,1,2,7,3};
int max = scores[0];
int min = scores[0];
double sum = 0;
for (int i = 0; i < scores.length; i++) {
if(max < scores[i]){
max = scores[i];
}
if(min > scores[i]){
min = scores[i];
}
sum += scores[i];
}
double score = (sum - max - min)/(scores.length-2);
System.out.println("得分:" + score);
}
第3题 寻找天数
- 已知:一年12个月每个月的总天数是:{ 31, 28, 31, 30, 31, 30, 31, 31, 30, 31, 30,31},从键盘输入年,月,日后,计算这一天是这一年的第几天。
提示:考虑闰年 - 答案
public static void main(String[] args) {
java.util.Scanner input = new java.util.Scanner(System.in);
System.out.print("年:");
int year = input.nextInt();
System.out.print("月:");
int month = input.nextInt();
System.out.print("日:");
int day = input.nextInt();
int[] daysPerMonth = new int[] { 31, 28, 31, 30, 31, 30, 31, 31, 30, 31, 30,31};
int days = day;
for (int i = 1; i < month; i++) {
if(i==2){
if(year%4==0 && year%100!=0 || year%400==0){
days++;
}
}
days+= daysPerMonth[i-1];
}
System.out.println(year+"年" + month + "月" + day + "日是这一年的第" + days + "天");
}
第4题 打鱼晒网
- 假设张三从1990年1月1日开始执行三天打鱼两天晒网,5天一个周期,风雨无阻,那么李四想要找张三玩,需要从键盘输入年,月,日后,判断这一天张三是在打鱼还是晒网。
已知:一年12个月每个月的总天数是:{ 31, 28, 31, 30, 31, 30, 31, 31, 30, 31, 30,31}
提示:考虑闰年 - 答案
public static void main(String[] args) {
java.util.Scanner input = new java.util.Scanner(System.in);
System.out.print("年:");
int year = input.nextInt();
System.out.print("月:");
int month = input.nextInt();
System.out.print("日:");
int day = input.nextInt();
int[] daysPerMonth = new int[] { 31, 28, 31, 30, 31, 30, 31, 31, 30, 31, 30,31};
int days = day;
for (int i = 1990; i < year; i++) {
if(i%4==0 && i%100!=0 || i%400==0){
days+=366;
}else{
days+=365;
}
}
for (int i = 1; i < month; i++) {
if(i==2){
if(year%4==0 && year%100!=0 || year%400==0){
days++;
}
}
days+= daysPerMonth[i-1];
}
System.out.println(year+"年" + month + "月" + day + "日是在" + (days%5==1 || days%5==2 || days%5==3 ? "打鱼":"晒网"));
}
第5题 星期问题
- 用一个数组,保存星期一到星期天的7个英语单词,从键盘输入1-7,显示对应的单词
- 答案
public static void main(String[] args) {
String[] weeks = {"monday","tuesday","wednesday","thursday","friday","saturday","sunday"};
java.util.Scanner input = new java.util.Scanner(System.in);
System.out.print("星期:");
int week = input.nextInt();
if(week<1 || week>7){
System.out.println("输入有误!");
}else{
System.out.println(week + ":" + weeks[week-1]);
}
}
第6题 英文字母大小写转换
- 用一个数组存储26个英文字母的小写形式,并遍历显示小写字母以及它对应的大写字母,例如:a->A
提示:ASCII码表 - 答案
public static void main(String[] args) {
char[] letters = new char[26];
for (int i = 0; i < letters.length; i++) {
letters[i] = (char)('a' + i);
}
for (int i = 0; i < letters.length; i++) {
System.out.println(letters[i] + "->" + (char)(letters[i] -32));
}
}
第7题 学生成绩排名
1、从键盘输入本组学员人数
2、声明两个数组,一个存储本组学员的姓名,一个存储本组学员的成绩
3、从键盘输入每一个人的姓名和成绩,分别存到两个数组中
4、找出最高分和最低分的学员的姓名
答案
String[] names = new String[count];
int[] scores = new int[count];
for(int i=0; i<count; i++){
System.out.print("第" + (i+1) + "个同学的信息:");
System.out.print(""姓名:");
names[i] = input.next();
System.out.print("成绩:");
scores[i] = input.nextInt();
}
int index = 0;
for(int i=1; i<scores.length; i++){
if(scores[i] > scores[index]){
index = i;
}
}
System.out.println(names[index]);
Java面向对象之三大特性综合练习
有关面向对象的题,我就整理一道题,但是将前面这两天讲的知识点都涉及到了,尤其是对面向对象三大特性的应用,题目如下:
1、声明一个父类Employee员工类型,
有属性,姓名(String),出生日期(MyDate类型,也是自定义的含年,月,日属性日期类型)
有方法,public double earning()
public String getInfo():显示姓名和实发工资
2、声明一个子类SalaryEmployee正式工,继承父类Employee
增加属性,薪资,工作日天数,请假天数
重写方法,public double earning()返回实发工资, 实发工资 = 薪资 - 薪资/工作日天数 * 请假天数,
重写方法,public String getInfo():显示姓名和实发工资,月薪,工作日天数,请假天数
3、声明一个子类HourEmployee小时工,继承父类Employee
有属性,工作小时数,每小时多少钱
重写方法,public double earning()返回实发工资, 实发工资 = 每小时多少钱 * 小时数
重写方法,public String getInfo():显示姓名和实发工资,时薪,工作小时数
增加方法,public void leave():打印查看使用工具是否损坏,需要赔偿
4、声明一个子类Manager经理,继承SalaryEmployee
增加属性:奖金,奖金比例
重写方法,public double earning()返回实发工资, 实发工资 = (薪资 - 薪资/工作日天数 * 请假天数)*(1+奖金比例)
重写方法,public String getInfo():显示姓名和实发工资,月薪,工作日天数,请假天数,奖金比例
5、声明一个员工数组,存储各种员工,
你现在是人事,从键盘输入当前的月份,需要查看每个人的详细信息。
如果他是正式工(包括SalaryEmployee和Manager),并且是本月生日的,祝福生日快乐,通知领取生日礼物。如果是HourEmployee显示小时工,就进行完工检查,即调用leave方法
注意事项:
- 判断生日的时候,利用构造器传入的是日期的对象
- 在生日月份那里判断是小时工还是正式工,小时工会遇到编译错误,所以需要上一章讲的多态的向下类型转换进行强制转换
答案:
package com.test02class;
import java.util.Scanner;
/*
5、声明一个员工数组,存储各种员工,
你现在是人事,从键盘输入当前的月份,需要查看每个人的详细信息。
如果他是正式工(包括SalaryEmployee和Manager),并且是本月生日的,祝福生日快乐,通知领取生日礼物。如果是HourEmployee显示小时工,就进行完工检查,即调用leave方法
* */
public class Test {
public static void main(String[] args) {
// 定义员工数组
Employee[] emp = new Employee[5];
// 键盘初始化
Scanner sc = new Scanner(System.in);
// 人事获取月份
System.out.println("请输入月份");
int month = sc.nextInt();
if(month<1 && month > 13)
System.out.println("请输入正确的月份");
// 创建两个正式员工,并将对象存储对象数组中
emp[0] = new SalaryEmployee("刘备",new MyDate(1994,10,2),23000,22,1);
emp[1] = new SalaryEmployee("吕布",new MyDate(1990,5,12),19000,22,2);
emp[2] = new Manager("貂蝉",new MyDate(1996,3,2),25000,22,5,0.2);
// 创建临时工
emp[3] = new HourEmployee("阿珂",new MyDate(1998,12,2),160,300);
emp[4] = new HourEmployee("李白",new MyDate(1999,8,2),145.5,300);
// 遍历数组并显示
for (int i = 0; i < emp.length; i++) {
// 输入员工的工资信息
System.out.println(emp[i].getInfo());
if(emp[i] instanceof SalaryEmployee) {
if (emp[i].getBirthday() == month) {
System.out.println(emp[i].getName() + "生日快乐,今天全公司为你组织生日patty~~~");
}
} else{
HourEmployee h1 = (HourEmployee) emp[i];
h1.leave();
}
}
}
}
/*
* 1、声明一个父类Employee员工类型,
有属性,姓名(String),出生日期(MyDate类型,也是自定义的含年,月,日属性日期类型)
有方法,public double earning()
public String getInfo():显示姓名和实发工资
* */
class Employee{
public String getName() {
return name;
}
public void setName(String name) {
this.name = name;
}
// 定义员工属性
private String name;
private MyDate birthday;
// 创建一个参数构造器
public Employee(String name) {
this.name = name;
}
// 创建带参构造器
public Employee(String name, MyDate birthday) {
this.name = name;
this.birthday = birthday;
}
// 创建getter/setter方法
// 定义计算工资方法,因为不知道工资计算方式,因此返回默认值
public double earning(){
return 0.0;
}
// 显示姓名和实发工资方法
public String getInfo(){
return "姓名: " + name + " ,出生日期: " + birthday.toString() + ", 实发工资: "+ earning();
}
// 获取生日月份
public int getBirthday(){
return birthday.getMonth();
}
}
// 日期类型
class MyDate{
private int year;
private int month;
private int day;
// 定义一个带参构造器
public MyDate(int year, int month, int day) {
this.year = year;
this.month = month;
this.day = day;
}
public int getYear() {
return year;
}
public int getMonth() {
return month;
}
public int getDay() {
return day;
}
// 返回出生日期
public String toString(){
return year + "年" + month+ "月" + day + "日";
}
}
/*
* 2、声明一个子类SalaryEmployee正式工,继承父类Employee
增加属性,薪资,工作日天数,请假天数
重写方法,public double earning()返回实发工资, 实发工资 = 薪资 - 薪资/工作日天数 * 请假天数,
重写方法,public String getInfo():显示姓名和实发工资,月薪,工作日天数,请假天数
* */
// 定义正式工类
class SalaryEmployee extends Employee{
// 添加属性
private int salary;
private int workDays;
private int leaveDays;
// 创建构造器
public SalaryEmployee(String name, MyDate birthday, int salary, int workDays, int leaveDays) {
super(name, birthday);
this.salary = salary;
this.workDays = workDays;
this.leaveDays = leaveDays;
}
// 重写实发工资方法
@Override
public double earning(){
return salary-salary/workDays*leaveDays;
}
// 重写显示信息方法
@Override
public String getInfo(){
return super.getInfo() + ", 月薪: " + salary + ", 工作日天数: " + workDays + ",请假天数: " + leaveDays;
}
}
/*
* 3、声明一个子类HourEmployee小时工,继承父类Employee
有属性,工作小时数,每小时多少钱
重写方法,public double earning()返回实发工资, 实发工资 = 每小时多少钱 * 小时数
重写方法,public String getInfo():显示姓名和实发工资,时薪,工作小时数
增加方法,public void leave():打印查看使用工具是否损坏,需要赔偿
* */
// 定义小时工
class HourEmployee extends Employee{
public HourEmployee(String name, MyDate birthday, double hoursWork, int hourlyWage) {
super(name, birthday);
this.hoursWork = hoursWork;
this.hourlyWage = hourlyWage;
}
// 工时
private double hoursWork;
// 时薪
private int hourlyWage;
// 计算实发工资
@Override
public double earning(){
return hourlyWage * hoursWork;
}
// 检查工具是否损坏
public void leave(){
System.out.println("没有损坏,你可以走了");
}
// 重写显示工资方法
@Override
public String getInfo(){
return "姓名: " + super.getInfo() + ", 时薪: " + hourlyWage + ",工时: " + hoursWork;
}
}
/*
* 4、声明一个子类Manager经理,继承SalaryEmployee
增加属性:奖金,奖金比例
重写方法,public double earning()返回实发工资, 实发工资 = (薪资 - 薪资/工作日天数 * 请假天数)*(1+奖金比例)
重写方法,public String getInfo():显示姓名和实发工资,月薪,工作日天数,请假天数,奖金比例
* */
// 定义经理
class Manager extends SalaryEmployee {
// 定义奖金比例
private double bonus;
// 定义构造器
public Manager(String name, MyDate birthday, int salary, int workDays, int leaveDays, double bonus) {
super(name, birthday, salary, workDays, leaveDays);
this.bonus = bonus;
}
// 重写实发工资方法
@Override
public double earning() {
return super.earning() * (1 + bonus);
}
// 重写获取信息方法
@Override
public String getInfo() {
return super.getInfo() + "奖金比例: " + bonus;
}
}
























浙公网安备 33010602011771号