操作系统实验1 体验 Nachos 下的并发程序设计
目 录
实验目的
- 熟悉Nachos系统。了解Nachos的目录结构,最主要的部分是 Nachos 的code部分。
- 初步了解Makefile的构成和相互关系。
- 修改Nachos 线程管理部分源代码体会多线程并发会导致的问题。
实验要求
- 安装 、编译nachos
- 实现双向有序链表
撰写dllist.cc、dllist.h、dllist-driver.cc文件。文件中要包括类的定义和实现,以及有序插入N个随机数函数和删除函数的实现,同时打印出删除的项目。
- 体验 nachos 线程系统
需要做的更改有:
- 将dllist.cc、dllist.h、dllist-driver.cc、dllist-driver.h等文件拷贝到 nachos-3.4/code/threads/目录下。
- 修改 Makefile.common 中的 THREAD_H、THREAD_C、THREAD_O 以保证新的文件可以被正确编译。
- 根据实验内容,修改main.cc,threadtest.cc等文件,通过操作双向链表展现多线程并发所引发的问题。
实验设计及关键代码实现
多线程执行可能出现的问题
- 线程安全问题
- 原子性:即一个操作或多个操作,要么全部执行并且执行过程中不会被任何的因素打断,要么就都不执行
- 原子操作:即不会被线程调度机制打断的操作,没有上下文切换
在并发编程中很多的操作都不是原子操作,如:
操作1: i = 0; 对基本数据类型变量的赋值操作是原子操作
操作2: i++; 包含3个操作,读取i的值,将i加1,将值赋给i
操作3: i = j; 包含2个操作,读取j的值,将j的值赋给i
操作4 : i = i + 1; 包含3个操作,读取i的值,将i加1,将值赋给i
所以非原子操作的每个操作都可能被线程调度机制打断,引发问题
- 可见性:指当多个线程访问同一个变量时,一个线程修改了这个变量的值,其他线程能够立即得到这个修改的值。每个线程都有自己的工作内存,工作内存和主存间要通过store和load进行交互。假如有两个线程:线程1在自己的工作内存中完成赋值操作,却没有及时将新值刷新到主内存中。而线程2会从主内存中读取i的值,然后加载到自己的工作内存中,但赋值工作还没有完成,就进行了读取。这就是可见性问题。
- 活跃性问题:可分为死锁、活锁和饥饿。
- 性能问题
- 在创建或撤销进程时,系统都要为之分配或回收进程控制块PCB及其他资源。操作系统为此所付出的开销,明显大于创建或撤销线程时的开销。
- 在进程切换时涉及进程上下文的切换,而线程切换时只需保存和设置少量寄存器内容,开销很小。
本次实验主要涉及线程安全问题。
正确编译Nachos
Makefile.common文件定义了编译链接生成一个完整的Nachos可执行文件所需要的所有规则。我们需要把要添加的.h和.cc文件放到_H、_C还有_O的列表中。将新编写的dllist.cc、dllist.h、dllist-driver.cc文件加入列表中,使make可以正常编译链接出目标文件。


代码涉及的参数
表1 可传入的参数
|
参数标记 |
对应变量名 |
参数含义 |
|
-q |
int testnum |
测试编号,用于进入不同的测试分支(默认为1) |
|
-t |
int threadnum |
需要创建的并行线程数量(默认为2) |
|
-n |
int oprnum |
链表操作的元素个数(默认为2) |
|
-y |
bool yield_flag |
标志是否能进行线程切换(1表示可以,0表示不可以,默认为0) |
|
testnum |
功能 |
指令 |
|
1 |
测试双向链表 |
-q 1 -t 1 |
|
2 |
复现进程共享问题 |
-q 1 -t 2 -n 5 -y 1 |
|
3 |
复现覆盖问题 |
-q 2 -t 2 -n 5 -y 1 |
|
4 |
复现乱序问题 |
-q 3 -y 1 |
表 2 不同testnum的不同功能
实现双向链表
- 按照Nachos实验指导的3.1部分将双向链表的定义写入dllist.h文件中,并作适当的添加和修改:
DLLElement类:
|
class DLLElement { public: DLLElement(void *itemPtr, int sortKey); // initialize a list element DLLElement *next; // next element on list // NULL if this is the last DLLElement *prev; // previous element on list // NULL if this is the first int key; // priority, for a sorted list void *item; // pointer to item on the list }; |
DLList类:
|
class DLList { public: DLList(); // initialize the list ~DLList(); // de-allocate the list void Prepend(void *item); // add to head of list (set key = min_key-1) void Append(void *item); // add to tail of list (set key = max_key+1) void *Remove(int *keyPtr); // remove from head of list // set *keyPtr to key of the removed item // return item (or NULL if list is empty) bool IsEmpty(); // return true if list has no elements // routines to put/get items on/off list in order (sorted by key) void SortedInsert(void *item, int sortKey); void SortedInsert2(void *item, int sortKey); void *SortedRemove(int sortKey); // remove first item with key==sortKey // return NULL if no such item exists void ShowList(int type); DLLElement * getFirst() { return first; } void setFirst(DLLElement *p) { first = p; } private: DLLElement *first; // head of the list, NULL if empty DLLElement *last; // last element of the list, NULL if empty }; |
- 在dllist.cc文件中根据定义写出具体的函数实现(这里只展示重要代码)
SortedInsert函数:
|
void DLList::SortedInsert(void *item, int sortKey) { DLLElement *newnode = new DLLElement(item, sortKey); DLLElement *ptr; if(IsEmpty()) { // if is empty, newone is the only one first = newnode; last = newnode; } else if(sortKey < first->key) { newnode->next = first; if(yield_flag && (testnum == 2 || testnum == 3)) currentThread->Yield(); first->prev = newnode; first = newnode; return ; } else { for(ptr = first; ptr->next != NULL; ptr = ptr->next) { if(sortKey < ptr->next->key) { newnode->next = ptr->next; newnode->prev = ptr; if(yield_flag && (testnum == 2 || testnum == 3)) currentThread->Yield(); ptr->next->prev = newnode; ptr->next = newnode; return ; } } // insert to the tail newnode->prev = last; if(yield_flag && (testnum == 2 || testnum == 3)) currentThread->Yield(); last->next = newnode; last = newnode; } } |
SortedRemove函数:
|
void *DLList::SortedRemove(int sortKey) { // find the first elem that the key is equal to sortKey and remove it if(IsEmpty()) return NULL; DLLElement *ptr; void *TB_return; if(first->key == sortKey) { // if the first is equal to the sortKey, then delete it first = NULL; last = NULL; } else { for(ptr = first->next; ptr->next != NULL; ptr = ptr->next) { TB_return = ptr->item; if(ptr->key == sortKey) { ptr->prev->next = ptr->next; ptr->next->prev = ptr->prev; delete ptr; } } if(ptr->key == sortKey) { ptr->prev->next = NULL; last = ptr->prev; TB_return = ptr->item; delete ptr; } else return NULL; } return TB_return; } |
- 在dllist-driver.cc中实现两个函数,其中一个函数需要插入N个元素,另外一个函数需要从双向链表的头部删除N个元素并将它们打印到终端。这两个函数的参数都是一个int整形N和一个指向双向链表的指针。
genItem2List函数:
|
void genItem2List(int n, DLList *dllist) { // generate n random keys and the dllist points to the list int *item, key; if(!seed) { srand(unsigned(time(0))); seed = 1; } for(int i = 0; i < n; i++) { item = new int; *item = rand(); key = rand() % NUM_RANGE; printf("Insert %d into the list\n", key); dllist->SortedInsert((void *)item, key); printf("Insert %d into the list complete\n", key); } dllist->ShowList1(); } |
delItemFromList函数:
|
void delItemFromList(int n, DLList *dllist) { // removes N items starting from the head of the list for(int i = 0; i < n; i++) { if(!dllist->IsEmpty()) { printf("Delete from the head\n"); int keyval; dllist->Remove(&keyval); printf("Delete %d from the list\n", keyval); } else { printf("The list is empty\n"); return ; } } dllist->ShowList2(); } |
- 在threadtest.cc中另写一个函数,调用上述两个函数,验证代码的正确性,展示双向链表。
|
void DLListTest(int which) { fprintf(stdout, "Insert items in thread %d\n", which); genItem2List(oprnum, dllist); if(yield_flag == true) currentThread->Yield(); fprintf(stdout, "Remove items in thread %d\n", which); delItemFromList(oprnum, dllist); } |
- 运行结果
在终端输入./nachos -q 1 -t 1得到结果:

线程并发以及并发可能引起的问题
- 首先,我们需要先了解线程切换的方法,强制的线程切换使用currentThread->Yield(),这里需要注意的是需要引用 system.h 文件。
currentThread定义在system.cc中,表示当前正在运行的线程:

调用Thread类中的Yield方法可以使得当前线程立即放弃所占用的CPU,使得其他可以运行的线程获得所需要的CPU资源从而执行其他线程下的任务:

- 修改 threads/main.cc 和 threads/theadtest.cc 文件,实现可以创建 T 个线程(不同步),每个线程先插入 N 个元素,再依次移除并打印。所有线程共用一个链表。
- 设计可能发生的线程冲突问题,并探究其发生的原因。
问题1:内存共享
并行执行时一个线程可能会修改其他线程正在进行操作的双向链表,比如一个线程还没有完成它全部应该完成的任务时调用了Yield将资源让给其他线程,其他线程就再次对这个链表进行操作,使得链表还没有被删除就再次被插入。
我们可以在代码中加入这样一行代码来模拟该种情况(红色为加入的代码):
|
void DLListTest(int which) { fprintf(stdout, "Insert items in thread %d\n", which); genItem2List(oprnum, dllist); if(yield_flag == true) currentThread->Yield(); fprintf(stdout, "Remove items in thread %d\n", which); delItemFromList(oprnum, dllist); } |
其中yield_flag是在threadtest.cc中定义的一个变量,表示是否可以强制切换线程,若值为1则可以,反之则不可以。通过在命令行中加入-y 1的参数可以改yield_flag的值为1。
但这种情况比较“善良”,并不会出现报错信息,只是会删除掉别的线程所生成的随机节点。运行如下指令,可看到结果:
./nachos -q 1 -t 2 -y 1
可以看到,第一个线程先插入然后紧接着第二个线程进行插入,最后是两个线程接连删除链表中的内容,最后链表中的内容会删空。
问题2:覆盖
并发的线程在链表的同一个地方插入不同的元素,导致其中那个先插入的元素被覆盖。
DLListTest2函数:
|
void DLListTest2() { fprintf(stdout, "Insert items in thread %d\n", which); genItem2List(oprnum, dllist); } |
与问题1的区别在于,问题1是在整个插入操作执行完毕后进行线程的强制切换,而要复现出问题2的情况就需要在插入的过程中(即在新生成的节点与其他节点建立链接时)进行线程切换。
修改SortInsert函数(红色为起主要作用的代码):
|
void DLList::SortedInsert(void *item, int sortKey) { DLLElement *newnode = new DLLElement(item, sortKey); DLLElement *ptr; if(IsEmpty()) { // if is empty, newone is the only one first = newnode; last = newnode; } else if(sortKey < first->key) { newnode->next = first; if(yield_flag && (testnum == 2 || testnum == 3)) currentThread->Yield(); first->prev = newnode; first = newnode; return ; } else { for(ptr = first; ptr->next != NULL; ptr = ptr->next) { if(sortKey < ptr->next->key) { newnode->next = ptr->next; newnode->prev = ptr; if(yield_flag && (testnum == 2 || testnum == 3)) currentThread->Yield(); ptr->next->prev = newnode; ptr->next = newnode; return ; } } // insert to the tail newnode->prev = last; if(yield_flag && (testnum == 2 || testnum == 3)) currentThread->Yield(); last->next = newnode; last = newnode; } } |
在终端执行./nachos -q 2 -t 2 -y 1 -n 5表示执行DLListTest2()函数并开启两个线程同时往双向链表中插入5个随机数,设置线程可切换,运行结果如下:

可以看到,两个线程共往链表中插入了10个元素,但是最终打印出来的结果只有6个,从而复现了元素覆盖的情况。
问题3:乱序
两个线程在同一位置插入元素,可能导致顺序颠倒。
DllistTest3函数:
|
void DLListTest3(int which) { // out of order fprintf(stdout, "In thread %d\n", which); if(which == 0) { InsertItem(which, dllist, 1); InsertItem(which, dllist, 10); // Here to switch thread InsertItem(which, dllist, 0); InsertItem(which, dllist, 5); PrintList(which, dllist); InsertItem(which, dllist, 3); InsertItem(which, dllist, 7); PrintList(which, dllist); } else { // which == 1 PrintList(which, dllist); InsertItem(which, dllist, 3); PrintList(which, dllist); } } |
InsertItem函数:
|
void InsertItem(int which, DLList *dllist, int keyv) { fprintf(stdout, "Thread %d : Insert %d to the dllist\n", which, keyv); dllist->SortedInsert(NULL, keyv); } |
为了能够保证乱序情况的出现,DLListTest3中的代码使用了固定参数的节点,同样线程切换的位置发生了变化,即新插入的节点的前驱指针和后继指针都已连接完毕,而指向新插入的节点的指针还未连接时进行线程转换。
运行结果:
在终端输入./nachos -q 3 -y 1可以看到

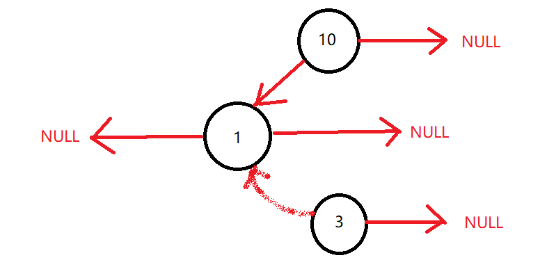
- 线程1 想将元素3插入双向链表时,线程0还未将元素10完全插入双向链表,只是将元素10 的前驱指针和后继指针都指向了正确的地方,但是还没有指针指向元素10。

- 线程1插入元素3时发现元素3应该插在元素1的后面,并且和元素10一样,插了一半就换到了线程0。

- 换回线程0后,线程0继续完成未做完的工作(将该指向元素10的指针修改正确),于是把元素1的后继指向10。

- 在线程0插入下一个元素插入到一半的时候,又切换回线程1,线程1继续将没插完的元素3插入双向链表,它会将元素10的后继指向元素3。于是造成了乱序的现象

遇到的问题
- 一开始不太理解实验要求,像无头苍蝇一样不知道该如何进行实验。
- 双向链表不熟悉,刚开始建立和将双向链表打印出来的函数写得都有问题,于是我上网查阅资料,并简单地学习了gdb地用法,成功找出了BUG,顺利完成了本次实验。
- 看网上有资料说还有可能出现断链地情况,但是我一直没有办法复现出来,或者说其实已经出现了这种情况,但是我并没有发现它出现了,于是就没有在报告中体现这一部分地内容了。
实验总结
- 本次实验我学习到了简单使用nachos系统的方法,本次实验只涉及到线程,所以通过修改threads里的文件编写实现目标功能的函数,并运行,观察结果并分析。
- 简单了解了编写Makefile的语言规则。Makefile可以将编译众多文件的命令汇集到一个文件了,使用make命令执行Makefile,十分方便。
- 对于线程方面,主要想说的就是currentThread->Yield(),这个函数实际上就是让当前线程暂时放弃资源,去执行另一个线程的任务,当另一个线程完成操作之后,原线程再继续执行后续的操作。
- 本次实验中的线程并发本质上还是几个线程之间的切换,因此代码的执行顺序就非常重要,对于测试情况的设置就是基于对执行顺序的考虑,测试在不同位置切换线程可能造成的后果。
本实验完整代码均在gitee上,后续实验代码也会更新:
https://gitee.com/i-rong/nachos

浙公网安备 33010602011771号