47.从前序与中序遍历序列构造二叉树
给定两个整数数组 preorder 和 inorder ,其中 preorder 是二叉树的先序遍历, inorder 是同一棵树的中序遍历,请构造二叉树并返回其根节点。
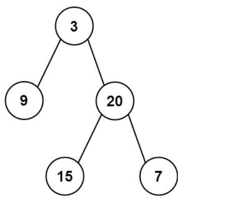
示例1:

输入: preorder = [3,9,20,15,7], inorder = [9,3,15,20,7]
输出: [3,9,20,null,null,15,7]
示例2:
输入: preorder = [-1], inorder = [-1]
输出: [-1]
提示:
- 1 <= preorder.length <= 3000
- inorder.length == preorder.length
- -3000 <= preorder[i], inorder[i] <= 3000
- preorder 和 inorder 均 无重复 元素
- inorder 均出现在 preorder
- preorder 保证 为二叉树的前序遍历序列
- inorder 保证 为二叉树的中序遍历序列
代码:
/**
* Definition for a binary tree node.
* public class TreeNode {
* int val;
* TreeNode left;
* TreeNode right;
* TreeNode() {}
* TreeNode(int val) { this.val = val; }
* TreeNode(int val, TreeNode left, TreeNode right) {
* this.val = val;
* this.left = left;
* this.right = right;
* }
* }
*/
class Solution {
//构造中序遍历值和数组下标的映射,帮助我们快速根据中序遍历数组的值定位对应的下标,主要是为了根据根节点的值找到其在中序遍历数组中的下标
public Map<Integer,Integer>mp = new HashMap<>();
public TreeNode buildTree(int[] preorder, int[] inorder) {
//n为先序遍历数组的长度
int n = preorder.length;
//遍历中序遍历数组,构造映射
for(int i=0;i<n;i++)mp.put(inorder[i],i);
//递归构造二叉树
return build(preorder,inorder,0,n-1,0,n-1);
}
public TreeNode build(int[] preorder,int[] inorder,int pl,int pr,int il,int ir){
//前序遍历中的第一个节点就是根节点,root_val即为根节点的值
int root_val = preorder[pl];
//在中序遍历中定位根节点,root_idx即为根节点在中序遍历数组中的下标
int root_idx = mp.get(root_val);
//根据根节点的值root_val构造根节点
TreeNode root = new TreeNode(root_val);
//如果il<root_idx表示中序遍历数组左边还有值,说明还有左子树,递归遍历构造左子树
//此时先序遍历数组的左右下标进行更新,左下标向右移动一位,变为pl+1,右下标更新为pl+1+左子树节点个数-1,由于左子树节点个数为root_idx-il,所以右下标更新为pl+root_idx-il
//同理中序遍历数组的左右下标进行更新,左下标仍为il,右下标更新为root_idx-1
if (il < root_idx) root.left = build(preorder,inorder, pl+1, pl + root_idx - il,il, root_idx - 1);
//如果ir>root_idx表示中序遍历数组右边还有值,说明还有右子树,递归遍历构造右子树
//此时先序遍历数组的左右下标进行更新,左下标变为pl+root_idx-il+1,右下标仍为pr
//同理中序遍历数组的左右下标进行更新,左下标仍为root_idx+1,右下标仍为ir
if (ir > root_idx) root.right = build(preorder,inorder, pl + root_idx - il+1, pr ,root_idx + 1, ir);
//返回根节点
return root;
}
}

浙公网安备 33010602011771号