46.二叉树展开为链表
给你二叉树的根结点 root ,请你将它展开为一个单链表:
- 展开后的单链表应该同样使用 TreeNode ,其中 right 子指针指向链表中下一个结点,而左子指针始终为 null 。
- 展开后的单链表应该与二叉树 先序遍历 顺序相同。
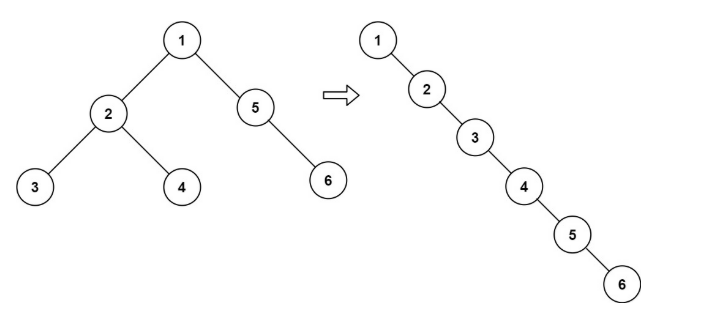
示例1:

输入:root = [1,2,5,3,4,null,6]
输出:[1,null,2,null,3,null,4,null,5,null,6]
示例2:
输入:root = []
输出:[]
示例3:
输入:root = [0]
输出:[0]
提示:
- 树中结点数在范围 [0, 2000] 内
- -100 <= Node.val <= 100
代码:
/**
* Definition for a binary tree node.
* public class TreeNode {
* int val;
* TreeNode left;
* TreeNode right;
* TreeNode() {}
* TreeNode(int val) { this.val = val; }
* TreeNode(int val, TreeNode left, TreeNode right) {
* this.val = val;
* this.left = left;
* this.right = right;
* }
* }
*/
class Solution {
//定义一个pre指针
TreeNode pre = null;
public void flatten(TreeNode root) {
//如果当前节点为null,直接返回
if(root == null)return;
//先处理右子树,再处理左子树(因为是前序的逆序:右->左->根)
flatten(root.right);
flatten(root.left);
//当前节点的右指针指向prev(即已经处理好的部分)
root.right = pre;
//左指针置空
root.left = null;
//更新prev为当前节点
pre = root;
}
}

浙公网安备 33010602011771号