45.二叉树的右视图
给定一个二叉树的 根节点 root,想象自己站在它的右侧,按照从顶部到底部的顺序,返回从右侧所能看到的节点值。
示例1:
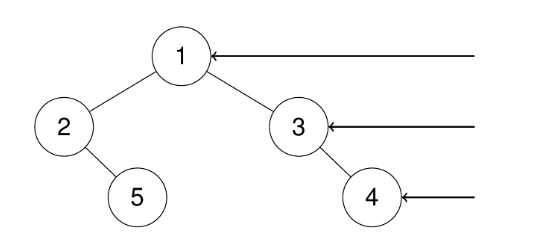
输入:root = [1,2,3,null,5,null,4]
输出:[1,3,4]
解释:
示例2:
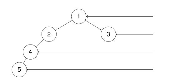
输入:root = [1,2,3,4,null,null,null,5]
输出:[1,3,4,5]
解释:
示例3:
输入:root = [1,null,3]
输出:[1,3]
示例4:
输入:root = []
输出:[]
提示:
- 二叉树的节点个数的范围是 [0,100]
- -100 <= Node.val <= 100
代码:
/**
* Definition for a binary tree node.
* public class TreeNode {
* int val;
* TreeNode left;
* TreeNode right;
* TreeNode() {}
* TreeNode(int val) { this.val = val; }
* TreeNode(int val, TreeNode left, TreeNode right) {
* this.val = val;
* this.left = left;
* this.right = right;
* }
* }
*/
class Solution {
public List<Integer> rightSideView(TreeNode root) {
//list用来存储右侧所能看到的节点值
List<Integer>list = new ArrayList<>();
//如果当前节点为null,直接返回空的list
if(root == null)return list;
//定义队列进行层序遍历
Queue<TreeNode>q = new LinkedList<>();
//将根节点加入队列
q.add(root);
//只要队列非空就不断遍历
while(!q.isEmpty()){
//size记录当前层节点个数
int size = q.size();
//遍历以处理当前层节点
for(int i=0;i<size;i++){
//获取当前节点并将其移出队列
TreeNode t = q.remove();
//如果该节点为当前层最后一个节点,直接将其值加入list
if(i == size-1)list.add(t.val);
//如果左节点非空,将左节点加入队列
if(t.left!=null)q.add(t.left);
//如果右节点非空,将右节点加入队列
if(t.right!=null)q.add(t.right);
}
}
//返回结果
return list;
}
}



浙公网安备 33010602011771号