43.验证二叉搜索树
给你一个二叉树的根节点 root ,判断其是否是一个有效的二叉搜索树。
有效 二叉搜索树定义如下:
- 节点的左子树只包含 小于 当前节点的数。
- 节点的右子树只包含 大于 当前节点的数。
- 所有左子树和右子树自身必须也是二叉搜索树。
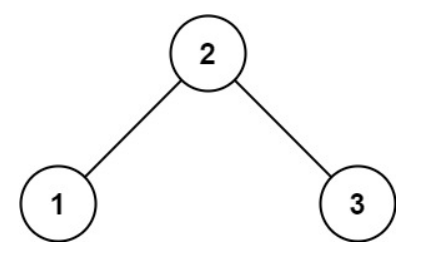
示例1:

输入:root = [2,1,3]
输出:true
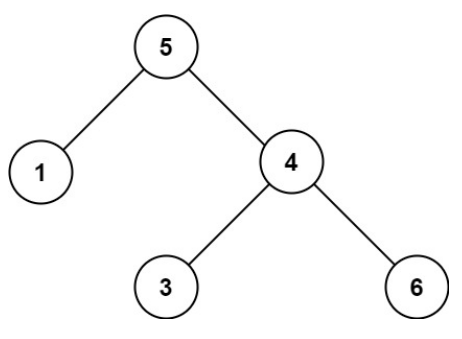
示例2:

输入:root = [5,1,4,null,null,3,6]
输出:false
解释:根节点的值是 5 ,但是右子节点的值是 4 。
提示:
- 树中节点数目范围在[1, 104] 内
- -231 <= Node.val <= 231 - 1
代码:
/**
* Definition for a binary tree node.
* public class TreeNode {
* int val;
* TreeNode left;
* TreeNode right;
* TreeNode() {}
* TreeNode(int val) { this.val = val; }
* TreeNode(int val, TreeNode left, TreeNode right) {
* this.val = val;
* this.left = left;
* this.right = right;
* }
* }
*/
class Solution {
public boolean isValidBST(TreeNode root) {
//递归遍历树以判断是否满足二叉搜索树的条件
return judge(root,Long.MIN_VALUE,Long.MAX_VALUE);
}
public boolean judge(TreeNode node,long min,long max){
//如果当前节点为null,直接返回true
if(node == null)return true;
//如果当前节点的值大于规定的最大值或者小于等于规定的最小值,说明不满足二叉搜索树的条件,直接返回false
if(node.val>=max||node.val<=min)return false;
//递归左子树和右子树,只有左右子树同时满足条件,才能判断满足二叉搜索树的条件
//递归左子树时,最大值更新为当前节点的值,因为左子树的值必须全部小于当前节点值
//递归右子树时,最小值更新为当前节点的值,因为右子树的值必须全部大于当前节点值
return judge(node.left,min,node.val)&&judge(node.right,node.val,max);
}
}

浙公网安备 33010602011771号